Главная >> Электродинамика. Физика 10-11 класс. Мякишев

Глава 4. Магнитное поле токов

§ 4.11. Примеры решения задач (окончание)

Задача 5

Используя формулу покажите, что циркуляция вектора магнитной индукции вдоль контура, охватывающего проводник с током, равна произведению магнитной постоянной μ0 на силу тока I в проводнике.

Циркуляцией вектора магнитной индукции вдоль замкнутого контура называется сумма

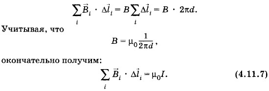
где i — элемент контура, а i — вектор магнитной индукции в соответствующей точке контура (рис. 4.59).

Решение. Выберем замкнутый контур в виде окружности радиусом d, через центр которой проходит перпендикулярно плоскости окружности данный проводник. Тогда индукция во всех точках контура одинакова по модулю и направлена по касательной к окружности. Это ясно из соображений симметрии и вытекает из закона Био—Савара—Лапласа. Поэтому скалярные произведения i • i равны BΔli и

Можно доказать, что в самом общем случае циркуляция вектора индукции магнитного поля по замкнутому контуру равна магнитной постоянной μ0, умноженной на алгебраическую сумму сил токов, охватываемых этим контуром:

Эта формула является математическим выражением теоремы о циркуляции вектора магнитной индукции.

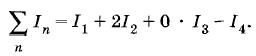
Знак силы тока In определяется по ранее установленным правилам (см. гл. 2). Положительное направление тока связывают с направлением обхода контура правилом правого винта (буравчика).

Каждый ток считается столько раз, сколько раз он охватывается контуром. Для системы токов, изображенных на рисунке 4.60,

Задача 6

Вычислите индукцию магнитного поля: а) внутри кольцевой катушки с током; б) внутри цилиндрической катушки.

Решение, а) На рисунке 4.61 изображена кольцевая катушка (тороид), имеющая витков, которые распределены равномерно. Проведем контур в виде окружности радиусом R, совпадающей со средней линией магнитной индукции катушки (R2 < R < R1). Запишем для этого контура теорему о циркуляции вектора магнитной индукции:

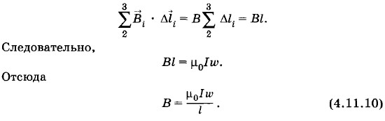
б) На рисунке 4.62 изображена цилиндрическая катушка (соленоид), длина L которой во много раз больше диаметра D его витков. Такой соленоид можно практически считать бесконечно длинным. Магнитное поле такого соленоида целиком сосредоточено внутри него. Вне соленоида = 0. Внутри соленоида поле однородно и линии индукции параллельны его оси.

Для вычисления магнитной индукции внутри соленоида выделим на оси участок длиной l, на котором расположено ω витков, и проведем контур 1—2—3—4—1 (см. рис. 4.62).

Применяя теорему о циркуляции к этому контуру, получим:

На участках 1—2 и 3—4 элементы контура перпендикулярны линиям индукции, поэтому первое и третье слагаемые равны нулю. На участке 4—1 = 0, следовательно, и четвертое слагаемое тоже равно нулю. Остается второе слагаемое

Формула (4.11.10) справедлива для достаточно длинного соленоида (D << L) вдали от его краев. При приближении к концам соленоида линии индукции начинают расходиться и значение модуля вектора уменьшается.

<<< К началу параграфа

 

 

???????@Mail.ru