Главная >> Электродинамика. Физика 10-11 класс. Мякишев

Глава 4. Магнитное поле токов

§ 4.11. Примеры решения задач

При решении задач по теме «Магнитное поле тока» надо уметь применять закон Био—Савара—Лапласа (4.7.8), закон Ампера (4.7.9), выражения для силы взаимодействия двух параллельных токов (4.6.3) и силы Лоренца (4.9.4). Надо также знать формулу (4.3.1), определяющую модуль магнитной индукции, принцип суперпозиции магнитных полей (4.3.2), формулу для магнитной индукции поля прямого тока (4.7.10), значение магнитной постоянной (4.7.6).

Необходимо уметь, используя векторную запись законов Ампера и Био—Савара—Лапласа, определять направление силы, действующей на элемент проводника с током, при заданных направлениях тока и магнитной индукции, и направление магнитной индукции, созданной элементом тока. Нужно уметь также определять направление силы Лоренца.

Задача 1

Сила тока в кольце радиусом R равна I. Определите индукцию магнитного поля в произвольной точке, лежащей на перпендикуляре, восставленном к плоскости кольца из его центра.

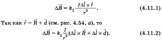
Решение. Пусть ОА — перпендикуляр к плоскости кольца, проходящий через его центр О (рис. 4.54, а). Определим магнитную индукцию в точке А, отстоящей на расстоянии d от контура (ОА = d). Расстояние элементов тока кольца от точки А обозначим через r.

Согласно закону Био—Савара—Лапласа (4.5.4) элемент тока создает в точке А магнитную индукцию

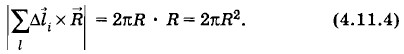
Для нахождения индукции магнитного поля, созданного кольцом с током, надо просуммировать векторы i, создаваемые отдельными элементами тока

Все векторы направлены вниз, поэтому их сумма находится простым сложением:

При нахождении суммы приходится складывать равные по модулю, но радиально расходящиеся векторы (рис. 4.54, б). Сумма таких векторов равна нулю:

Подставляя значения (4.11.4) и (4.11.5) в выражение (4Л1.3), получим:

Задача 2

Вдоль клина с углом α при основании проложены рельсы, расстояние между которыми l. По рельсам с трением (коэффициент трения равен μ) скользит проводящий брусок массой m. Какой ток I следует пропустить через брусок, чтобы он не скользил вниз, если вся система находится в магнитном поле, индукция которого направлена вертикально?

Решение. На брусок действуют сила тяжести , сила реакции рельсов , сила трения тp. При создании тока через брусок добавляется сила Ампера A (рис. 4.55). Брусок не будет скользить вниз, если

Проанализируйте самостоятельно, при какой силе тока брусок не будет скользить вверх.

Задача 3

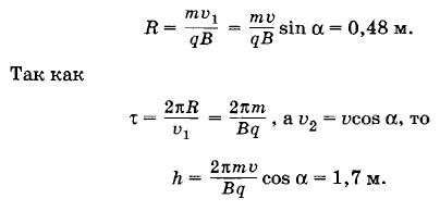
Альфа-частица (заряд q = 3,2 • 10-19 Кл, масса m = 6,7 х 10-27 кг) начинает двигаться со скоростью υ = 4000 км/с в однородном магнитном поле с индукцией В = 0,15 Тл. Начальная скорость частицы составляет с вектором угол α = 60°. Покажите, что траектория α частицы представляет собой винтовую линию. Каковы радиус и шаг этой винтовой линии?

Решение. Вектор скорости α частицы можно представить как сумму двух векторов, из которых (рис. 4.56). Вектор 2 не меняется ни по модулю, ни по направлению, так как сила Лоренца не действует на частицу, имеющую скорость вдоль поля (вдоль вектора ). Вектор 1 меняется по направлению, так как на α-частицу действует сила Лоренца, постоянная по модулю и перпендикулярная скорости 1. Эта сила сообщает α-частице постоянное по модулю ускорение, тоже перпендикулярное вектору 1. Но движение с постоянной по модулю скоростью и ускорением, перпендикулярным этой скорости, есть равномерное движение по окружности.

Таким образом, на равномерное движение вдоль линии индукции накладывается движение по окружности в плоскости, перпендикулярной вектору . А это значит, что частица движется по винтовой линии с шагом h = 2τ, где τ — время одного оборота α-частицы по окружности, радиус которой, согласно формуле (4.10.2), равен:

Задача 4

Незаряженный металлический брусок представляет собой прямоугольный параллелепипед с ребрами а, b, с (а >> с; b >> с). Брусок движется в магнитном поле в направлении, параллельном ребру а, со скоростью . Индукция магнитного поля перпендикулярна основанию бруска со сторонами а и с (рис. 4.57). Определите напряженность электрического поля в бруске и плотность электрических зарядов на боковых гранях параллелепипеда, образованных ребрами с и b.

Решение. Сила Лоренца действует на свободные электроны, так как они движутся вместе с бруском в магнитном поле. Эта сила () направлена, как показано на рисунке 4.58. Электроны относительно решетки смещаются, и одна грань параллелепипеда заряжается отрицательно, а другая — положительно. В бруске возникает электрическое поле. Когда кулоновская сила уравновесится силой Лоренца (еЕ = Beυ), то перемещение электронов относительно решетки прекратится. Искомая напряженность Е = Bυ.

Плотность зарядов σ находим из соотношения Следовательно,

σ = ε0Вυ.

Окончание параграфа >>>

 

 

???????@Mail.ru