Главная >> Физика 10 класс. Часть 1. Генденштейн. Дик

§ 36. Применение условий равновесия тела

Лестница у стены (окончание)

Палочка в стакане

Пусть в гладком цилиндрическом стакане находится гладкая тонкая палочка длиной l и массой m. Палочка опирается на край стакана (рис. 36.9).

    Рис. 36.9

Обозначим высоту стакана h, а его диаметр — d.

Какие силы действуют на палочку?

Прежде всего, это сила тяжести m, приложенная в центре тяжести палочки (он совпадает с её серединой).

Кроме этого, на палочку действуют силы со стороны края стакана, его дна и стенки. Поскольку палочка и стакан гладкие, это — силы нормальной реакции, направленные перпендикулярно поверхности соприкосновения тел. Обозначим эти силы соответственно к, д и c (рис. 36.9).

Для упрощения дальнейших формул введём угол α между палочкой и вертикалью, а длину находящейся в стакане части палочки обозначим b.

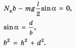
15. Сделайте в тетради чертёж, на котором обозначены все необходимые величины, и объясните, почему справедливы следующие уравнения:

16. С какой силой давит палочка2 длиной 15 см и массой 100 г на край стакана? Высота стакана 8 см, диаметр — 6 см.

    2 Согласно третьему закону Ньютона палочка давит на край стакана с такой же по модулю силой, с какой край стакана давит на палочку.

<<< К началу

 

 

???????@Mail.ru