Главная >> Физика 10 класс. Часть 1. Генденштейн. Дик

§ 36. Применение условий равновесия тела

Лестница у стены

К гладкой стене приставляют лестницу (рис. 36.8). При каком условии лестница может остаться в покое? Центр тяжести лестницы в её середине.

    Рис. 36.8

9. Почему лестница упадёт, если пол гладкий?

Найдя ответ на этот вопрос, вы установите, что прислонённая к стене лестница может покоиться только при условии, что со стороны пола на неё действует сила трения. А поскольку лестница покоится, то это — сила трения покоя.

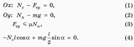
10. Изобразите на чертеже в тетради силы, действующие на лестницу. Введите обозначения:

    длина и масса лестницы l и m;

    силы нормальной реакции, действующие со стороны стены и пола, c и n соответственно;

    сила трения, действующая со стороны пола, тр;

    коэффициент трения между лестницей и полом μ.

    11. Объясните, почему справедливы следующие соотношения (α — угол, который составляет лестница с вертикалью):

    П о д с к а з к а. Воспользуйтесь первым и вторым условиями равновесия (второе — относительно нижнего конца лестницы).

    12. Объясните, почему справедливо следующее условие равновесия лестницы у гладкой стены:

    13. При каком максимальном угле между лестницей и стеной лестница может покоиться, если коэффициент трения между лестницей и полом равен 0,5?

    Выполнение неравенства (5) гарантирует, что лестница без нагрузки может покоиться. А можно ли по этой лестнице взобраться до самого верха?

    14. Грузный человек взбирается по лёгкой лестнице. Какое соотношение между α и μ должно выполняться, чтобы человек мог подняться до самого верха лестницы? Считайте, что массой лестницы можно пренебречь по сравнению с массой человека.

    Выполнив это задание, вы обнаружите, что для безопасного подъёма по очень лёгкой лестнице угол между лестницей и стеной должен быть существенно меньше, чем для равновесия лестницы без нагрузки.

    Окончание >>>

     

 

???????@Mail.ru