Главная >> Физика 10 класс. Часть 1. Генденштейн. Дик

Лабораторные работы

Измерение ускорения тела при равноускоренном движении

Цель работы: измерить ускорение шарика, скатывающегося по наклонному жёлобу.

Оборудование: металлический жёлоб1, стальной шарик, металлический цилиндр, измерительная лента, секундомер или часы с секундной стрелкой.

    1 Для устойчивости к концам жёлоба можно приклеить кусочки ластика.

Описание работы

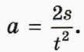
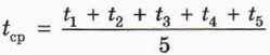
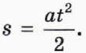
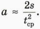
Движение шарика, скатывающегося по жёлобу, можно приблизительно считать равноускоренным. При равноускоренном движении без начальной скорости модуль перемещения s, модуль ускорения а и время движения t связаны соотношением Поэтому, измерив s и t, мы можем наити ускорение а по формуле Чтобы повысить точность измерения, ставят опыт несколько раз, а затем вычисляют средние значения измеряемых величин.

Ход работы

1. Положите жёлоб на стол, подложив под один из его концов одну или несколько тетрадей. Изменяя угол наклона жёлоба, добейтесь, чтобы шарик катился по нему достаточно медленно: движение вдоль всего жёлоба должно занимать не менее 3 с.

Положите в жёлоб у его нижнего конца металлический цилиндр. Когда шарик, скатившись, ударится о цилиндр, звук удара поможет точнее определить время движения шарика.

2. Отметьте на жёлобе начальное положение шарика, а также его конечное положение — верхний торец металлического цилиндра.

3. Измерьте расстояние между верхней и нижней отметками на жёлобе (модуль перемещения шарика s) и результат измерения запишите в таблицу, заголовок которой приведён ниже.

4. Отпустите шарик у верхней отметки без толчка и измерьте время t до удара шарика о цилиндр.

Повторите опыт 5 раз, записывая в таблицу результаты измерений. В каждом опыте пускайте шарик из одного и того же начального положения, а также следите за тем, чтобы верхний торец цилиндра находился у соответствующей отметки.

5. Вычислите и результат запишите в таблицу.

6. Вычислите ускорение, с которым скатывался шарик: Результат вычислений запишите в таблицу.

7. Запишите выводы из эксперимента.

 

 

???????@Mail.ru