Главная >> Физика 10 класс. Часть 1. Генденштейн. Дик

Лабораторные работы

Изучение движения тела, брошенного горизонтально

Цели работы: 1) убедиться на опыте, что тело, брошенное горизонтально, движется по параболе; 2) измерить начальную скорость тела, брошенного горизонтально.

Оборудование: штатив с муфтой и зажимом, изогнутый жёлоб, металлический шарик, лист бумаги, лист копировальной бумаги, отвес, измерительная лента.

Описание работы

Шарик скатывается по изогнутому жёлобу, верхняя часть которого наклонная, а нижняя — горизонтальная (рис. 1). Оторвавшись от жёлоба, шарик под действием силы тяжести движется по параболе. Вершина этой параболы находится в точке, где шарик оторвался от жёлоба.

    Рис. 1

Выберем систему координат, как показано на рисунке.

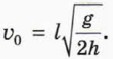
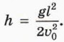
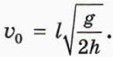
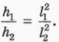
При движении по параболе высота h, с которой падает шарик, и дальность полёта I связаны соотношением Отсюда следует, что при одинаковых начальных скоростях отношение высот, с которых падает шарик, должно быть равно отношению квадратов дальности полёта.

Измерив h и l, можно найти скорость шарика в момент отрыва от жёлоба по формуле

Ход работы

1. Соберите установку, изображённую на рисунке Л-1. Нижний участок жёлоба должен быть горизонтальным, а расстояние h от нижнего края жёлоба до стола должно равняться 40 см. Лапки зажима расположите около верхнего конца жёлоба.

2. Положите под жёлобом лист бумаги, придавив его книгой, чтобы он не сдвигался при проведении опытов. Отметьте на этом листе с помощью отвеса точку А, находящуюся на одной вертикали с нижним концом жёлоба.

3. Поместите шарик в жёлоб так, чтобы он касался зажима штатива, и отпустите шарик без толчка. Заметьте (примерно) место на столе, куда упадёт шарик. На отмеченное место положите лист бумаги, а на него — лист копировальной бумаги рабочей стороной вниз. Придавите эти листы книгой, чтобы они не сдвигались при проведении опытов.

4. Снова поместите шарик в жёлоб так, чтобы он касался зажима штатива, и отпустите без толчка. Повторите этот опыт 5 раз, следя за тем, чтобы лист копировальной бумаги и находящийся под ним лист не сдвигались. Снимите лист копировальной бумаги, не сдвигая листа под ним, и отметьте точку, расположенную наиболее близко ко всем отпечаткам (выбор этой точки означает усреднение результатов пяти опытов).

Учтите при этом, что некоторые отпечатки могут быть расположены очень близко друг к другу.

5. Измерьте расстояние l от отмеченной точки до точки А.

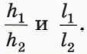
6. Опустите жёлоб так, чтобы его нижний край находился на высоте 10 см над столом, и повторите пункты 1—5. Измерьте соответствующее значение дальности полёта и вычислите отношения

7. Результаты измерений и вычислений запишите в таблицу, заголовок которой приведён ниже.

8. Проверьте, выполняется ли соотношение Запишите расчёт и сделайте вывод.

9. По результатам первого опыта вычислите значение υ0, используя формулу Запишите расчёт.

10. Запишите выводы из эксперимента.

 

 

???????@Mail.ru