Главная >> Физика. 10 класс. Часть 1. Генденштейн. Дик

§ 8. Равномерное движение по окружности

Ускорение при равномерном движении по окружности (окончание)

Модуль ускорения

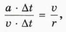
За промежуток времени Δt тело, движущееся со скоростью υ, проходит по дуге окружности путь Δl = υ • Δt (это красная сплошная линия на рисунке 8.6, а).

Если Δt мало по сравнению с Т, эта дуга почти не отличается от отрезка прямой. Поэтому фигура, образованная двумя радиусами r и этим отрезком, представляет собой равнобедренный треугольник с основанием Δl = υ • Δt.

Этот треугольник подобен равнобедренному треугольнику, образованному скоростями 1, 2 и изменением скорости Δ = • Δt (он изображён на рисунке 8.6, б), поскольку углы при вершинах этих треугольников равны. Следовательно, основания указанных двух треугольников относятся, как их боковые стороны:

откуда получаем:

Центростремительное ускорение можно выразить также через ν и r или через Т и r.

7. Докажите, что центростремительное ускорение выражается также формулами

Подсказка. Воспользуйтесь формулами (4), (1), (2).

Можно подумать, что центростремительное ускорение, обусловленное изменением только направления скорости, не может быть значительным. Убедимся, что это не всегда так.

8. Чтобы космонавты без вреда для здоровья переносили большие перегрузки во время старта и посадки космического корабля, их тренируют с помощью специального аппарата — огромной центрифуги (рис. 8.7). Во время тренировки в Центре подготовки космонавтов им. Ю. А. Гагарина космонавт движется в капсуле (она изображена в левой части фотографии) по окружности радиусом 18 м.

    а) С каким ускорением движется космонавт, когда центрифуга делает шесть оборотов в минуту?

    б) При какой частоте обращения космонавт движется с ускорением, превышающим ускорение свободного падения в 10 раз? Чему равна при этом его линейная скорость?

Чтобы испытать на себе ощущения при движении с ускорением, в несколько раз превышающем ускорение свободного падения, можно покататься на центрифуге в парке (рис. 8.8). 9

9. Радиус колеса аттракциона 10 м. Чему равен период его обращения, когда пассажиры движутся с ускорением, в 2,5 раза превышающим ускорение свободного падения?

<<< К началу

 

 

???????@Mail.ru