Главная >> Физика. 10 класс. Часть 1. Генденштейн. Дик

§ 8. Равномерное движение по окружности

Ускорение при равномерном движении по окружности

Поскольку мгновенная скорость тела направлена по касательной в каждой точке траектории, направление скорости тела при его движении по окружности изменяется. А если скорость тела изменяется любым образом (пусть даже только по направлению), то это тело движется с ускорением. Итак, при равномерном движении по окружности тело движется с ускорением.

Докажем, что

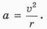
    при равномерном движении тела со скоростью и по окружности радиуса r:

    а) ускорение тела в каждый момент времени направлено по радиусу к центру окружности,

    б) модуль ускорения

Направление ускорения

Поскольку

направление вектора ускорения совпадает с направлением вектора изменения скорости Δ.

Найдём изменение скорости Δ за промежуток времени Δt, малый по сравнению с периодом Т.

Обозначим 1 скорость тела в момент времени t, а 2 — скорость тела в момент времени t + Δt. Тогда

Обозначим Δα угол, на который повернётся за время Δt радиус, проведённый в точку, где находится тело (рис. 8.5, а). Угол Δα мал, если Δt мало по сравнению с Т.

На такой же угол Δα повернётся за время Δt и вектор скорости тела (скорость остаётся всё время перпендикулярной радиусу).

    Рис. 8.5

На рисунке 8.5, б показано, как найти изменение скорости Δи.

Векторы 1, 2 и Δ образуют равнобедренный треугольник с основанием Δ и малым углом Δα при вершине. Поэтому углы при основании этого треугольника близки к прямым углам (это следует из того, что сумма углов треугольника 180°).

Значит, изменение скорости Δ за очень малое время Δt направлено перпендикулярно скорости, то есть по радиусу, причём к центру окружности, как показано на рисунке 8.5, в. Ускорение направлено так же, как изменение скорости Δ, следовательно, ускорение тела направлено к центру окружности.

По этой причине ускорение тела при его движении по окружности часто называют центростремительным.

Из курса физики основной школы вы уже знаете, что ускорение тела обусловлено действующими на него силами. Например, при движении Земли вокруг Солнца силой, вызывающей центростремительное ускорение Земли, является сила тяготения со стороны Солнца.

6. Автомобиль поворачивает на 90° по дуге окружности. Изобразите на чертеже в тетради векторы скорости и ускорения автомобиля в середине дуги поворота.

Окончание >>>

 

 

???????@Mail.ru