Главная >> Физика 10 класс. Часть 1. Генденштейн. Дик

§ 12. Относительное движение брошенных тел. Отскок от наклонной плоскости

Относительное движение брошенных тел (окончание)

Вот почему целиться надо «точно в яблочко», и вот почему время полёта пули до попадания в яблоко равно начальному расстоянию между ними, делённому на начальную скорость пули! Мы видим, что полученные выше формулы (1), (2) можно было записать сразу, без вычислений.

Остаётся проверить: действительно ли модуль начальной скорости пули не имеет значения для попадания в яблоко?

3. При какой начальной скорости пули она может попасть в яблоко?

П о д с к а з к а. Время полёта пули до попадания в яблоко должно быть меньше времени падения яблока на землю.

Докажем, что тела, брошенные под любыми углами к горизонту с любыми начальными скоростями, движутся друг относительно друга с постоянной (по модулю и по направлению) скоростью, то есть прямолинейно равномерно.

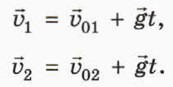
Действительно, пусть начальные скорости двух тел равны 01 и 02. Тогда их скорости в момент времени t выражаются в векторном виде формулами

Скорость второго тела относительно первого

Эта формула показывает, что относительная скорость тел не зависит от времени, то есть тела движутся друг относительно друга с постоянной скоростью.

Свидетелями этого интересного явления мы становимся, наблюдая во время фейерверков за разноцветными огненными шарами (рис. 12.2).

    фейерверк

Они имеют форму шаров именно потому, что образующие их светящиеся ракеты движутся друг относительно друга с постоянными скоростями!

Знание «секрета» относительного движения брошенных тел позволяет легко решать задачи, кажущиеся на первый взгляд довольно трудными.

4. Из одной точки одновременно бросили два тела — первое под углом 15° к горизонту, а второе — под углом 75° к горизонту. Начальная скорость каждого тела 20 м/с. Траектории тел лежат в одной плоскости. Попробуйте на все следующие вопросы (кроме а) ответить устно.

    а) Изобразите на одном чертеже начальные скорости тел и найдите начальную скорость второго тела относительно первого. Чему она равна по модулю?

    б) Будет ли эта относительная скорость изменяться во время полёта тел?

    в) Какой формулой в единицах СИ выражается зависимость расстояния d между телами во время полёта?

    г) Через какой промежуток времени после броска расстояние между движущимися телами стало равным 10 м?

    д) Объясните, почему эти тела не могут столкнуться в полёте.

<<< К началу

 

 

???????@Mail.ru