Главная >> Физика 10 класс. Часть 1. Генденштейн. Дик

§ 12. Относительное движение брошенных тел. Отскок от наклонной плоскости

Относительное движение брошенных тел

Пусть в некоторый момент (t = 0) из точки А на высоте h начинает падать яблоко (рис. 12.1). Лежащий на траве юный стрелок в тот же момент стреляет из пружинного пистолета, намереваясь попасть «в яблочко». Пистолет находится в точке В на расстоянии d от вертикали, вдоль которой падает яблоко, а скорость пули по модулю равна υ0.

    1) Под каким углом α к горизонту надо направить пулю?

    2) В какой момент времени пуля попадёт в яблоко?

Найдём сначала ответы на эти вопросы уже знакомым нам способом. Введём систему координат с началом в точке В, ось х направим по горизонтали вправо, а ось у — вверх. Запишем, как зависят от времени координаты пули и яблока, и учтём, что в момент попадания пули в яблоко их координаты совпадают.

1. Объясните, почему пуля может попасть в яблоко при условии, что

Эта удивительно простая формула утверждает, что целиться надо точно в яблочко — так, будто ни пуля, ни яблоко не чувствуют притяжения Земли! Для того чтобы пуля попала в яблоко, значение имеет (казалось бы) только направление её начальной скорости.

2. Объясните, почему до попадания пули в яблоко они будут двигаться в течение времени

Здесь — расстояние между пулей и яблоком в начальный момент.

П о д с к а з к а. Воспользуйтесь тем, что

Формула (2) тоже замечательна своей простотой: как будто бы яблоко и правда замерло на месте в ожидании пули, а пуля летела к яблоку, не чувствуя земного притяжения!

Найдём теперь физическую разгадку этой «простоты» и покажем, как можно было найти угол а и время полёта устно.

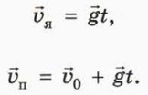
Поскольку яблоко и пуля движутся с ускорением свободного падения , их скорости в момент времени t в векторном виде выражаются формулами

Перейдём в систему отсчёта, связанную с яблоком. Скорость яблока в этой системе отсчёта остаётся равной нулю, а скорость пули относительно яблока

Итак, до попадания в яблоко пуля движется относительно яблока с постоянной скоростью 0, то есть прямолинейно и равномерно!

Окончание >>>

 

 

???????@Mail.ru