Главная >> Физика 10 класс. Часть 1. Генденштейн. Дик

§ 21. Движение по окружности под действием нескольких сил

Ответы и указания к § 21: Движение по окружности под действием нескольких сил

    2.

    3. По сухому асфальту 25 км/ч, по льду 14 км/ч.

    4.

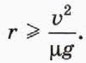
    6. Больше 36 км/ч.

    8.

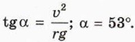
    9. а) 60°. б) 1 с. в) 43 см. г) 2,74 м/с. д) В 1,73 раза, е) За 6 мин. 10. а) 20 м/с2, б) 63°. в) 1,1 Н. г) 22,4 см. д) 1,6 с-1.

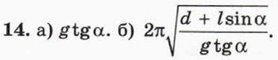
    11.

    12. а) 0,4. б) 0,02 Н. в) См. рисунок 5.

      Рис. 5

    13. 5 с-1.

<<< К началу

 

 

???????@Mail.ru