Главная >> Физика 10 класс. Часть 1. Генденштейн. Дик

§ 22. Движение системы связанных тел без учёта трения

Движение тел в одном направлении

Пусть по гладкому столу под действием горизонтальной силы движутся бруски массой m1 и m2, связанные лёгкой нерастяжимой нитью (рис. 22.1).

    Рис. 22.1

1. Используя рисунок 22.1, объясните смысл следующих уравнений:

Указание на то, что нить лёгкая, означает, что массой нити можно пренебречь. В таком случае равнодействующую приложенных к нити сил надо считать равной нулю (иначе нить получила бы бесконечно большое ускорение). Значит, бруски тянут нить в противоположные стороны с равными по модулю силами. Тогда из третьего закона Ньютона следует, что нить действует на бруски тоже с равными по модулю силами:

    Т2 = Т1.

Обозначим Т модуль силы натяжения нити:

    Т2 = Т1 = Т.

Поскольку нить нерастяжима, модули перемещения брусков за любой промежуток времени одинаковы. Отсюда следует, что ускорения брусков равны. Обозначим модуль этого ускорения а:

    а1 = а2 = а.

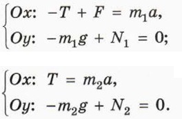
2. Используя рисунок 22.1, объясните смысл следующих уравнений:

3. Объясните, почему бруски, связанные лёгкой нерастяжимой нитью, движутся под действием силы с таким же ускорением, как одно тело массой m1 + m2 Чему равно это ускорение?

4. На гладком столе находятся два бруска, связанные лёгкой нерастяжимой нитью. Под действием горизонтальной силы 4 Н, приложенной к первому бруску, бруски движутся с ускорением 2 м/с2, а сила натяжения нити равна 1 Н.

    а) Чему равны массы брусков?

    б) Какова будет сила натяжения нити, если тянуть бруски горизонтальной силой 2 Н, приложенной ко второму бруску?

5. Два стальных цилиндра массой 1 кг и 3 кг подвешены на лёгких нерастяжимых нитях (рис. 22.2). Натяжение верхней нити 20 Н.

    а) С каким ускорением движутся цилиндры? Куда оно направлено?

    б) Чему равно натяжение нижней нити?

    в) При каком натяжении верхней нити вес нижнего цилиндра равен силе тяжести, действующей на верхний цилиндр?

    Рис. 22.2

 

 

???????@Mail.ru