Главная >> Физика 10 класс. Мякишев

Глава 15. Законы постоянного тока

Примеры решения задач по теме «Закон Ома. Последовательное и параллельное соединения проводников»

И наконец, эквивалентный резистор R2-6 соединён последовательно с резистором R1, так что

    Rэкв = R2-б + R = (5/8)R + R = (13/8)R.

Из закона Ома следует, что сила тока

    Из закона Ома следует, что сила тока

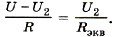
Задача 3. К участку цепи с напряжением U через резистор сопротивлением R подключены параллельно десять лампочек, имеющих одинаковое сопротивление r. Определите напряжение на каждой лампочке.

Р е ш е н и е. Начертим схему цепи (рис. 15.8). Очевидно, что напряжение на каждой лампочке будет одинаково, так как они соединены параллельно. Резистор сопротивлением R и участок цепи с лампочками соединены последовательно, следовательно, U = U1 + U2 = IR + IRэкв. Запишем закон Ома для каждого из участков цепи: откуда или Решив это уравнение относительно U2, получим Найдём эквивалентное сопротивление участка цепи с лампочками из соотношения

    Найдём эквивалентное сопротивление участка цепи с лампочками из соотношения

откуда

Окончательно получим

Задачи для самостоятельного решения

1. К концам медного проводника длиной 300 м приложено напряжение 36 В. Определите среднюю скорость упорядоченного движения электронов в проводнике, если концентрация электронов проводимости в меди 8,5 • 1028 м-3, а удельное сопротивление 1,7 • 10-8 Ом • м.

2. Сопротивление каждого из проводников, соединённых в квадрат, и проводников, образующих диагонали квадрата, равно r. Определите эквивалентное сопротивление при подключении источника тока: 1) к соседним вершинам; 2) к вершинам, лежащим на одной диагонали. В точке пересечения диагоналей контакта нет.

<<< К началу

 

 

???????@Mail.ru