Главная >> Физика 10 класс. Мякишев

Глава 15. Законы постоянного тока

§ 103. Примеры решения задач по теме «Закон Ома. Последовательное и параллельное соединения проводников»

При решении задач на применение закона Ома необходимо учитывать, что при последовательном соединении проводников сила тока во всех проводниках одинакова, а при параллельном их соединении напряжение одинаково на всех проводниках.

Формулы (15.6), (15.7), (15.9) и (15.11) следуют из закона Ома. Их надо применять при решении задач.

Задача 1. Параллельно амперметру, имеющему сопротивление Rа = 0,5 Ом, подсоединён медный провод длиной l = 0,4 м и диаметром d = 0,001 м. Удельное сопротивление меди ρ = 1,7 • 10-8 Ом • м. Определите полную силу тока в цепи, если амперметр показывает силу тока Iа = 0,2 А.

Р е ш е н и е. Так как амперметр и провод подключены параллельно, то напряжение на амперметре равно напряжению на проводе:

    IаRа = InRn.

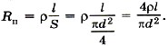
Определим сопротивление провода:

Тогда Полная сила тока в цепи

    Полная сила тока в цепи

Задача 2. На рисунке 15.7 все сопротивления резисторов равны R. Определите эквивалентное сопротивление цепи. Чему равна полная сила тока в цепи, если на клеммы 1, 2 подано напряжение U?

    Все сопротивления резисторов равны R

Р е ш е н и е. Трудно определить, как соединены резисторы R1 и R3 — последовательно или параллельно. В подобных схемах всегда нужно искать резисторы, соединения которых очевидны. Так, очевидно, что резисторы 7?5 и R6 соединены последовательно. Значит, R5,6 = R5 + R6 = 2R. Эквивалентный резистор сопротивлением R5,6 соединён с резистором R4 параллельно. Следовательно,

    В подобных схемах всегда нужно искать резисторы, соединения которых очевидны

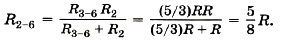
Эквивалентный резистор сопротивлением R4-6, в свою очередь, соединён последовательно с резистором R3:

    R3-6 = R3 + R4-6 = R + (2/3)R = (5/3)R,

а эквивалентный резистор сопротивлением R3-6 — параллельно с резистором R2:

    Эквивалентный резистор сопротивлением

Окончание >>>

 

 

???????@Mail.ru