Главная >> Физика 10 класс. Мякишев

Глава 3. Силы в механике

Примеры решения задач по теме: Первая космическая скорость

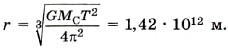
Окончательно получим

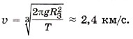
Для упрощения расчётов поместим спутник на полюс, где сила тяжести равна силе тяготения. Тогда отсюда GM3 = gR23.

Подставив найденное выражение в формулу (3), определим скорость:

Задача 4. Определите среднее расстояние от Сатурна до Солнца, если период обращения Сатурна вокруг Солнца равен 29,5 лет. Масса Солнца равна 2 • 1030 кг.

Р е ш е н и е. Считаем, что Сатурн движется вокруг Солнца по круговой орбите. Тогда согласно второму закону Ньютона запишем:

где m — масса Сатурна, r — расстояние от Сатурна до Солнца, Мс — масса Солнца.

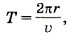
Период обращения Сатурна отсюда

Подставив выражение для скорости υ в уравнение (4), получим

Из последнего уравнения определим искомое расстояние от Сатурна до Солнца:

Сравнив с табличными данными, убедимся в правильности найденного значения.

Задачи для самостоятельного решения

1. Определите длительность года на Венере. Среднее расстояние от Венеры до Солнца 1,08 • 108 км, а от Земли до Солнца 1,49 • 108 км.

2. Какой импульс силы подействовал на спутник массой 1 т, если спутник перешёл с орбиты радиусом R3 + h на орбиту радиусом R3 + 2h, где высота h равна 200 км?

3. Астероид вращается вокруг Солнца с периодом, равным 410 сут. Определите расстояние от астероида до Солнца.

Образцы заданий ЕГЭ

С 1. Чему равен радиус кольца Сатурна, в котором частицы движутся со скоростью 10 км/с? Масса Сатурна 5,7 • 1026 кг.

С 2. Среднее расстояние от планеты Земля до Солнца составляет 149,6 млн км, а от планеты Юпитер до Солнца — 778,3 млн км. Чему равно отношение υЗЮ линейных скоростей этих двух планет при их движении вокруг Солнца, если считать их орбиты окружностями?

С 3. Среднее расстояние от Солнца до планеты Уран составляет 2875,03 млн км, а до планеты Земля — 149,6 млн км. Чему приблизительно равна средняя линейная скорость планеты Уран при её движении вокруг Солнца, если известно, что средняя скорость движения Земли по орбите вокруг Солнца составляет 30 км/с?

С 4. Средняя плотность некоторой планеты равна средней плотности планеты Земля, а радиус этой планеты в 2 раза больше радиуса Земли. Определите отношение первой космической скорости на этой планете к первой космической скорости на Земле υп3.

С 5. С какой скоростью движутся частицы, входящие в наиболее плотное кольцо Сатурна, если известно, что период их обращения примерно совпадает с периодом вращения Сатурна вокруг своей оси и составляет 10 ч 40 мин? Масса Сатурна равна 5,7 • 1026 кг.

<<< К началу

 

 

???????@Mail.ru