Главная >> Физика 10 класс. Мякишев

Глава 3. Силы в механике

§ 32. Примеры решения задач по теме: Первая космическая скорость.

Для решения задач требуется знать закон всемирного тяготения, закон Ньютона, а также связь линейной скорости тел с периодом их обращения вокруг планет. Обратите внимание на то, что радиус траектории спутника всегда отсчитывается от центра планеты.

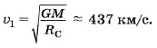
Задача 1. Вычислите первую космическую скорость для Солнца. Масса Солнца 2 • 1030 кг, диаметр Солнца 1,4 • 109 м.

Р е ш е н и е. Спутник движется вокруг Солнца под действием единственной силы — силы тяготения. Согласно второму закону Ньютона запишем:

    Спутник движется вокруг Солнца под действием единственной силы — силы тяготения.

Из этого уравнения определим первую космическую скорость, т. е. минимальную скорость, с которой надо запустить тело с поверхности Солнца, чтобы оно стало его спутником:

    Из этого уравнения определим первую космическую скорость

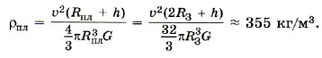
Задача 2. Вокруг планеты на расстоянии 200 км от её поверхности со скоростью 4 км/с движется спутник. Определите плотность планеты, если её радиус равен двум радиусам Земли (Rпл = 2R3).

Р е ш е н и е. Планеты имеют форму шара, объём которого можно вычислить по формуле тогда плотность планеты

    Планеты имеют форму шара, объём которого можно вычислить по формуле

где Мпл — масса планеты, Rпл — её радиус.

Спутник движется вокруг планеты по круговой орбите. На него действует сила тяготения Fтяг, которая определяет центростремительное ускорение.

Согласно второму закону Ньютона

    центростремительное ускорение

Из последнего уравнения находим массу планеты:

Подставив это выражение в формулу (1), имеем

находим массу планеты

Задача 3. При какой скорости спутника период его обращения вокруг Земли равен двум суткам?

Р е ш е н и е. Скорость спутника

    Скорость спутника

где h — высота спутника над поверхностью Земли.

Для определения скорости необходимо знать высоту h.

Спутник движется по круговой орбите, при этом сила тяготения является центростремительной силой. Согласно второму закону Ньютона для спутника запишем:

    сила тяготения является центростремительной силой

где m — масса спутника.

Из уравнения (2) находим высоту Подставим выражение для h в формулу (1) и из полученного уравнения определим искомую скорость:

    определим искомую скорость

Окончание >>>

 

 

???????@Mail.ru