Главная >> Физика 10 класс. Мякишев

Глава 14. Электростатика

Примеры решения задач по теме: Закон Кулона (продолжение)

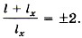
Решим полученную систему уравнений относительно двух неизвестных qx и lx. Из первого уравнения выразим |qx|: — и подставим во второе.

Получим уравнение или Подставим значения зарядов: или

Решением этого уравнения, удовлетворяющим физическому смыслу, является lx - 1 м.

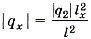
Подставив это значение в формулу для |qx|, получим |qx| = |q2| = 8 • 10-4 Кл, или qx = -8 • 10-4 Кл.

Задача 4. Два заряженных шарика, находящиеся друг от друга на расстоянии r = 90 см и помещённые в керосин, притягиваются друг к другу с силой F = 80 Н. Определите заряды шариков, если сумма их зарядов q = 4 • 10-5 Кл. Относительная диэлектрическая проницаемость керосина ε = 2.

Р е ш е н и е. Так как шарики притягиваются, то их заряды противоположны по знаку. Предположим, что заряд первого шарика положителен и равен q1, а второго отрицателен и равен q2. Согласно условию задачи

    q1 + q2 = q, или q1 - |q2| = q.                     (1)

По закону Кулона сила притяжения зарядов равна:

    По закону Кулона сила притяжения зарядов равна

Уравнения (1) и (2) — система двух уравнений относительно двух неизвестных q1 и |q2|.

Выразив из уравнения и подставив в уравнение (1), получим

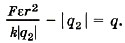
Относительно модуля заряда |q2| получим уравнение

Отсюда Модуль числа всегда положителен, поэтому оставляем один корень |q2| ≈ 10-4 Кл.

Таким образом, q2 = -10-4 Кл, a q1 = 1,4 • 10-4 Кл.

Задача 5. Два одинаковых небольших одноимённо заряженных шарика радиусом 1 см, массой 10 г и зарядом 4 • 10-6 Кл подвешены в одной точке на двух нитях длиной 1 м в жидком диэлектрике. Плотность диэлектрика ρ = 800 кг/м3. Определите относительную диэлектрическую проницаемость диэлектрика ε, если угол между нитями 2α = 60°.

Р е ш е н и е. На каждый шарик действуют сила тяжести, сила натяжения нити, выталкивающая сила и сила Кулона (рис. 14.7).

    На каждый шарик действуют сила тяжести, сила натяжения нити, выталкивающая сила и сила Кулона

Условия равновесия шариков m + + выт + = 0, m + 1 + 1 + выт = 0, Т = T1, F = F1.

В проекциях на оси координат для правого шарика запишем:

на ось OX: -Tsinα + F = 0;

на ось ОY: -mg + Tcosα + Fвыт = 0.

Выразив силу Т из этих уравнений и приравняв правые части полученных выражений, найдём

При этом сила Кулона где r12 = 2l sinα, а выталкивающая сила

Подставим эти выражения в уравнение (1) и найдём диэлектрическую проницаемость:

    Диэлектрическую проницаемость

<<< К началу      Окончание >>>

 

 

???????@Mail.ru