Главная >> Физика 10 класс. Мякишев

Глава 14. Электростатика

Примеры решения задач по теме: Закон Кулона

При решении задач на применение закона Кулона используются те же приёмы, что и при решении задач в курсе механики. Надо лишь иметь в виду, что направление кулоновской силы зависит от знаков зарядов взаимодействующих тел. Кроме того, в ряде задач используется закон сохранения заряда и тот факт, что заряд любого тела кратен заряду электрона.

Задача 1. Сколько электронов содержится в капле воды массой m = 0,03 г? Масса молекулы воды m0 = 3 • 10-23 г.

Р е ш е н и е. Молекула воды (Н2O) содержит 10 электронов. В капле воды содержится молекул, и, следовательно, число электронов электронов.

Задача 2. Два одинаковых шарика подвешены на нитях длиной I = 2,0 м к одной точке. Когда шарикам сообщили одинаковые заряды по q = 2,0 • 10-8 Кл, они разошлись на расстояние r = 16 см. Определите натяжение каждой нити и массу каждого шарика.

Р е ш е н и е. На каждый шарик действуют три силы: сила тяжести m сила натяжения нити и кулоновская сила (рис. 14.5).

    На каждый шарик действуют три силы

Каждый шарик неподвижен, следовательно, суммы проекций сил на оси ОХ и OY равны нулю. Для суммы проекций сил, действующих на правый шарик, на ось ОХ это условие имеет вид F - Т sinα = 0. Так как то

    Для суммы проекций сил, действующих на правый шарик

В проекциях на ось OY условие равновесия для каждого из шариков имеет вид Tcosα - mg = 0, откуда с учётом того, что cos2α = 1 — sin2α, получим

    Условие равновесия для каждого из шариков

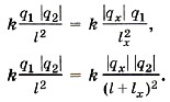
Задача 3. Два разноимённых заряда q1 = 2 • 10-4 Кл и q2 = -8 • 10-4 Кл расположены на расстоянии 1 м друг от друга. Какой заряд qx и где надо поместить, чтобы система зарядов находилась в равновесии?

Р е ш е н и е. Заряды q1 и q2 разноимённые, следовательно, они притягиваются и на них действуют силы 1 и 2 соответственно (рис. 14.6). Для равновесия каждого из зарядов необходимо, чтобы на заряды q1 и q2 со стороны заряда qx действовали силы '1 и '2, равные по модулю силам 1 и 2 и противоположные по направлению. Поскольку q1 < |q2|, заряд qx должен быть помещён слева от заряда qx, чтобы силы, действующие на заряды q1 и q2 со стороны заряда qx, были равны. Заряд qx должен быть отрицательным, т. е. притягивать заряд q1 и отталкивать заряд q2:

    1 = -'1,     2 = -'2.

    Заряды разноимённые притягиваются и на них действуют силы

В проекциях на ось X эти уравнения имеют вид F1 = F'1, F2 = F'2, или

Продолжение >>>

 

 

???????@Mail.ru