Главная >> Молекулярная физика. Термодинамика. Физика 10 класс. Мякишев

Глава 3. Температура. Газовые законы

Примеры решения задач на темы: Температура. Газовые законы

Задача 7

Закрытый с обоих концов цилиндр наполнен газом при давлении р — 100 кПа и температуре t = 30 °С и разделен подвижным теплонепроницаемым поршнем на две равные части длиной L по 50 см. На какую величину ΔТ нужно повысить температуру газа в одной половине цилиндра, чтобы поршень сместился на расстояние l = 20 см, если во второй половине цилиндра температура не изменяется? Определите давление газа после смещения поршня.

Решение. Для газа в части цилиндра с постоянной температурой применим закон Бойля—Мариотта:

pLS = p1(L - l)S,                     (3.12.4)

где S — площадь основания цилиндра. Для нагреваемой части цилиндра запишем уравнение Клапейрона:

уравнение Клапейрона

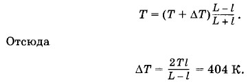
В уравнениях (3.12.4) и (3.12.5)р1 — давление газа после смещения поршня, одинаковое в обеих частях цилиндра вследствие равновесия поршня, а Т + ΔТ в уравнении (3.12.5) — температура газа в нагретой части цилиндра.

Разделив почленно уравнение (3.12.4) на уравнение (3.12.5), получим

Из уравнения (3.12.4) находим р1.

Задача 8

Сосуд объемом V = 100 л разделен пополам полупроницаемой перегородкой. В начальный момент времени в одной половине сосуда находился водород, масса которого m1 = 2 г, а во второй — 1 моль азота. Определите давления, установившиеся по обе стороны перегородки, если она может пропускать только водород. Температура в обеих половинах одинакова и постоянна: t = 127 °С.

Решение. Так как водород свободно проходит через перегородку, то он распространяется по всему сосуду. Запишем уравнение Менделеева—Клапейрона для водорода после установления состояния равновесия:

уравнение Менделеева—Клапейрона

где M1 = 2 • 10-3 кг/моль — молярная масса водорода.

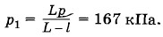
В той части сосуда, в которой вначале был только водород, он и в дальнейшем останется в чистом виде, так что давление в этой части сосуда станет равным

давление

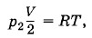
Для азота уравнение Менделеева—Клапейрона имеет вид

уравнение Менделеева—Клапейрона

где р2 — давление азота.

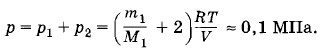
Так как в этой половине находятся водород и азот, то полное давление р согласно закону Дальтона складывается из парциальных давлений р1 и р2, т. е.

закон Дальтона

Задача 9

зависимости давления газа от объема

Гелий массой 20 г, заключенный в теплоизолированном цилиндре под поршнем, медленно переводится из состояния 1 с объемом V1 = 32 л и давлением р1 = 4,1 атм в состояние 2 с объемом V2 = 9 л и давлением р2 = 15,5 атм. Какой наибольшей температуры достигнет газ при этом процессе, если на графике зависимости давления газа от объема процесс изображается прямой линией (рис. 3.18)?

Решение. Как следует из рисунка 3.18, давление и объем газа связаны линейной зависимостью: р = aV + b, где а и b — постоянные коэффициенты. Из условий задачи получаем систему уравнений

p1 = aV1 + b, р2 = аV2 + b.

Решив эту систему относительно а и b, найдем

Подставив в уравнение Менделеева—Клапейрона вместо р выражение aV + b, получим

График зависимости Т от V представляет собой параболу (рис. 3.19). Кривая достигает максимума при когда корни квадратного уравнения (3.12.6) совпадают.

При этом

Задача 10

график изменения состояния идеального газа в координатах

На рисунке 3.20 изображен график изменения состояния идеального газа в координатах р, V. Начертите графики этого процесса в координатах V, Т и р, Т.

Решение. Из рисунка 3.20 следует, что давление газа р и его объем V находятся в прямой пропорциональной зависимости

p = kV,                     (3.12.7)

где k — постоянный коэффициент.

Подставив значение давления (3.12.7) в уравнение Менделеева— Клапейрона, получим

уравнение Менделеева— Клапейрона

уравнение параболы

Уравнение (3.12.8) — это уравнение параболы, ось симметрии которой совпадает с осью Т. Следовательно, в координатах V, Т искомый график имеет вид, показанный на рисунке 3.21, а. Аналогично получим график этого процесса в координатах р, Т (рис. 3.21,6).

<<< Примеры решения задач

 

 

???????@Mail.ru