Главная >> Молекулярная физика. Термодинамика. Физика 10 класс. Мякишев

Глава 3. Температура. Газовые законы

Примеры решения задач на темы: Температура. Газовые законы

Задачи на применение газовых законов очень разнообразны. Для их решения нельзя указать какой-либо один определенный прием. Полезными могут оказаться следующие советы.

1. Если согласно условию задачи один из трех параметров (р, V или Т) постоянный, то при Т = const надо применять закон Бойля—Мариотта (3.5.2), при р = const — закон Гей-Люссака (3.7.7), а при V = const — закон Шарля (3.10.2) или (3.10.3).

2. Если изменяются все три параметра, то следует воспользоваться уравнением состояния в форме (3.9.9) или (3.9.5).

Уравнение состояния (3.9.9) применяется в тех случаях, когда известна масса газа и часть макроскопических параметров в определенном состоянии газа и надо найти неизвестные величины.

3. Для определения давления смеси газов, не вступающих в химические реакции, используют закон Дальтона (3.8.2).

4. Во многих задачах требуется построение графиков, изображающих разного рода процессы. Для этого нужно знать зависимость параметров друг от друга, которая в общем случае дается уравнением состояния, а в частных — газовыми законами.

5. При решении большинства задач надо четко представлять себе, каково начальное состояние системы и какой процесс переводит его в конечное состояние.

Задача 1

Как измерить медицинским термометром температуру тела человека, если температура окружающего воздуха +42 °С?

Решение. Можно предварительно охладить термометр в холодильнике. Если холодильника нет, то нужно подержать термометр 5—8 мин под мышкой, извлечь его и сразу же стряхнуть. Термометр покажет температуру тела, так как ртуть в термометре сожмется при контакте с телом до объема, соответствующего температуре тела.

Задача 2

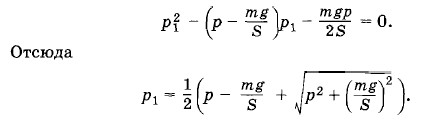
Газ в цилиндрическом сосуде разделен на две равные части подвижным поршнем, имеющим массу т и площадь сечения S. При горизонтальном положении цилиндра давление газа в каждой половине сосуда равно р. Определите давление газа над поршнем при вертикальном положении цилиндра. Температуру газа считать постоянной.

Решение. При горизонтальном положении цилиндра объем каждой его части обозначим через V (эти объемы равны). При вертикальном положении цилиндра объем верхней части станет равным V + ΔV, а нижней V - ΔV. Давление в нижней части цилиндра станет равным Согласно закону Бойля—Мариотта

закону Бойля—Мариотта

Исключив из этих равенств получим квадратное уравнение для p1:

Второй корень квадратного уравнения отрицателен и потому лишен физического смысла.

Задача 3

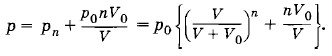
Поршневой насос при каждом качании захватывает воздух объемом V0. При откачке этим насосом воздуха из сосуда объемом V насос совершил п качаний. Затем другой насос с тем же рабочим объемом V0 начал нагнетать воздух из атмосферы в тот же сосуд, совершив также п качаний. Какое давление установится в сосуде? Температуру воздуха во время работы насоса считать постоянной.

Решение. Согласно закону Бойля—Мариотта при откачке воздуха из сосуда после первого качания давление в сосуде станет равным где р0 — атмосферное давление. После второго качания будет выполняться равенство р2V = p2(V + V0) и, следовательно, и т. д. После n качании в сосуде установится давление

При нагнетании воздуха в сосуд после n качаний давление станет равным

При любом n р > р0, так как во время нагнетания воздуха при каждом качании насос захватывает воздух, имеющий атмосферное давление р0, а при откачке при каждом качании удаляется воздух при давлении, меньшем р0.

Задача 4

В запаянной с обоих концов цилиндрической трубке находится воздух при нормальных условиях. Трубка разделена подвижным поршнем на две части, объемы которых V1 и V2 относятся как 1 : 2. До какой температуры t1 следует нагреть воздух в меньшей части трубки и до какой t2 охладить в большей, чтобы поршень делил трубку на две равные части, если нагревание и охлаждение в обеих частях трубки производятся при условии

Решение. Условие означает, что процессы нагревания и охлаждения происходят изобарно. При отношении начальных объемов эти объемы составляют и где V0 — объем всей трубки. Конечные объемы обеих частей одинаковы и равны

Согласно закону Гей-Люссака для воздуха в меньшей части трубки выполняется соотношение

где Т0 = 273 К — температура, соответствующая начальным условиям. Отсюда

Задача 5

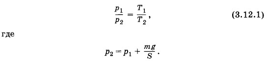
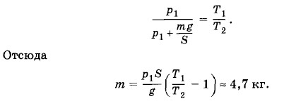
В цилиндре под поршнем находится воздух при давлении p1 = 2 • 105 Па и температуре t1 = 27 °С. Определите массу т груза, который нужно положить на поршень после нагревания воздуха до температуры t2 = 50 °С, чтобы объем воздуха в цилиндре стал равен первоначальному. Площадь поршня S = 30 см2.

Решение. Так как в процессе нагревания объем воздуха в цилиндре не изменяется, то согласно закону Шарля имеем Решение. Так как в процессе нагревания объем воздуха в цилиндре не изменяется, то согласно закону Шарля имеем

Подставляя в (3.12.1) выражение для р2, получим

Задача 6

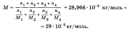
Найдите среднюю (эффективную) молярную массу сухого атмосферного воздуха, предполагая известный процентный состав воздуха по массе: азот — n1 = 75,52%, кислород — n2 = 23,15%, аргон — n3 = 1,28% и углекислый газ— n4 = 0,05%.

Решение. Для каждого газа можно записать уравнение состояния:

уравнение состояния

Здесь M1, M2, M3 и M4 — молярные массы соответственно азота, кислорода, аргона и углекислого газа.

Складывая правые и левые части этих уравнений, получим

Для смеси газов выполняется соотношение

где m = m1 + m2 + m3 + m4 — масса воздуха с объемом V, а М — искомая эффективная молярная масса.

Согласно закону Дальтона

p = p1 + p2 + p3 + p4.

Сравнивая уравнения состояния (3.12.2) и (3.12.3), получим

Разделив числитель и знаменатель на т и умножив на 100%, получим выражение для М через процентный состав воздуха по массе

процентный состав воздуха

Примеры решения задач (окончание) >>>

 

 

???????@Mail.ru