Главная >> Физика. 10 класс. Базовый уровень. Пурышева

Глава 8. Электростатика

§ 55. Электрическая ёмкость (окончание)

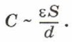
Сдвигая одну пластину относительно другой, можно уменьшить площадь пластин, находящихся друг против друга. Электрометр покажет, что разность потенциалов при этом будет увеличиваться. Поскольку ёмкость конденсатора обратно пропорциональна разности потенциалов, а заряд пластин не изменился, то можно сделать вывод, что при уменьшении площади пластин конденсатора его ёмкость также уменьшается (С ~ S)

Если пластины конденсатора отодвигать друг от друга, не меняя их площади, то разность потенциалов увеличится. Это указывает на уменьшение ёмкости конденсатора. Чем больше расстояние между пластинами конденсатора, тем меньше его ёмкость (С - 1/d).

Вставив между обкладками конденсатора пластину из диэлектрика, обнаружим уменьшение разности потенциалов. Следовательно, ёмкость конденсатора в этом случае увеличится (С ~ ε).

Таким образом, ёмкость плоского конденсатора прямо пропорциональна площади пластин, обратно пропорциональна расстоянию между ними и зависит от свойств диэлектрика, находящегося между ними.

В СИ коэффициент пропорциональности между ёмкостью и определяющими её величинами называют электрической постоянной ε0 = 8,85 • 10-12 Кл2/(Н • м2). Следовательно, ёмкость плоского конденсатора равна:

    Вопросы для самопроверки

1. Дайте определение электрической ёмкости проводника.

2. Что представляет собой плоский конденсатор? Каково его назначение?

3. От каких величин зависит ёмкость плоского конденсатора? Опишите опыт, который позволяет установить данную зависимость.

    Упражнение 39

1. Заряд, равный 5 • 10-4 Кл, создаёт на пластинах конденсатора разность потенциалов 20 В. Чему равна ёмкость конденсатора?

2. Плоский воздушный конденсатор присоединён к источнику постоянного тока. Будет ли меняться заряд конденсатора и напряжение на нём, если заполнить пространство между его обкладками диэлектриком?

3. Пластины плоского конденсатора площадью 200 см2 каждая расположены на расстоянии 2 мм друг от друга. Пространство между пластинами заполнено слюдой. Чему равен заряд, сообщённый конденсатору, если напряжение между пластинами 3 кВ, а диэлектрическая проницаемость слюды 6?

    Ответы

1. 2,5 • 10-5 Ф.

3. 1,6 мкКл.

<<< К началу

 

 

???????@Mail.ru