Главная >> Физика. 10 класс. Базовый уровень. Пурышева

Глава 8. Электростатика

§ 56. Энергия электростатического поля заряженного конденсатор

Работа, совершаемая при зарядке плоского конденсатора

1. Для того чтобы зарядить конденсатор, необходимо совершить определённую работу. Эта работа равна энергии конденсатора. Убедиться в том, что заряженный конденсатор обладает энергией, можно, подключив его к электрической лампе. Кратковременная вспышка света свидетельствует о том, что заряженный конденсатор обладает энергией, и при соединении конденсатора с лампой его энергия превращается во внутреннюю энергию спирали лампы.

Суммарный электрический заряд обкладок конденсатора до зарядки и после окончания свечения лампы равен нулю. Единственное изменение, которое произошло при разрядке конденсатора, заключается в том, что исчезло электростатическое поле между его обкладками. Следовательно, энергией обладало электростатическое поле, существующее между обкладками заряженного конденсатора.

Выясним, чему равна энергия электростатического поля плоского конденсатора.

Представим себе, что конденсатор заряжается путём постепенного переноса заряда с одной пластины на другую. Очевидно, что одна пластина при этом зарядится положительно, другая — отрицательно. Как только пластины приобретут заряды, между ними возникнет разность потенциалов U0, которая будет расти по мере увеличения заряда на пластинах.

Обозначим малый заряд, перенесённый с одной пластины на другую, через q0. Для перемещения заряда q0 с одной пластины на Другую должна быть совершена работа А0, которая равна

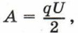
    совершена работа

Будем повторять эту процедуру столько раз, сколько нужно для того, чтобы на пластинах получить заряды +q и -q.

Полная работа, необходимая для сообщения пластинам конденсатора зарядов +q и -q, вычисляется по формуле где U — конечное напряжение на пластинах конденсатора. Эта работа равна энергии плоского конденсатора.

Окончание >>>

 

 

???????@Mail.ru