Главная >> Физика. 10 класс. Базовый уровень. Пурышева

Глава 8. Электростатика

Энергия электростатического поля заряженного конденсатор

Энергия электростатического поля

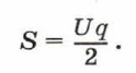
2. Работу, совершённую при зарядке конденсатора, можно определить графически. График зависимости напряжения на обкладках конденсатора от заряда (рис. 163) представляет собой прямую, проходящую через начало координат. Площадь треугольника, образованного графиком, осью абсцисс и перпендикуляром, восставленным к оси абсцисс в точке q, равна

    Рис. 163

Следовательно, работа по переносу заряда с одной пластины на другую (энергия заряженного конденсатора) численно равна площади обозначенного треугольника.

Энергия электростатического поля плоского конденсатора равна работе по его зарядке:

    W = A.

Поскольку С = q/U, можно записать:

    Энергия электростатического поля плоского конденсатора

При вычислении энергии конденсатора можно пользоваться любым из этих выражений в зависимости от того, какие величины известны.

    Вопросы для самопроверки

1. Опишите опыт, показывающий, что электростатическое поле между обкладками заряженного конденсатора обладает энергией.

2. Объясните, как, используя график зависимости напряжения на обкладках конденсатора от заряда на его обкладках, можно вычислить работу при зарядке конденсатора.

3. По какой формуле можно рассчитать энергию заряженного конденсатора?

    Упражнение 40

1. Как изменится энергия заряженного конденсатора при увеличении расстояния между его обкладками, если:

    а) конденсатор отключён от источника тока;

    б) конденсатор подключён к источнику тока?

2. Чему равна энергия конденсатора ёмкостью 0,2 мкФ, если разность потенциалов между его обкладками 200 В?

3. Энергия фотовспышки лампы, питаемой от конденсатора, равна 36 Дж. Электроёмкость конденсатора 800 мкФ. Рассчитайте напряжение, до которого заряжен конденсатор.

    Ответы

2. 0,4 • 10-4 Дж.

3. 9 • 104 В.

    Самоконтроль

Выполните в рабочей тетради тренировочный тест 7.

<<< К началу

 

 

???????@Mail.ru