Главная >> Физика 11 кл. Мякишев

Глава 17. Строение Вселенной

§ 125. Галактики (окончание)

Красное смещение в спектрах галактик и закон Хаббла

Свет галактик в основном представляет собой суммарный свет миллиардов звезд и газа. Для изучения физических свойств галактик астрономы используют методы спектрального анализа света.

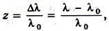
Наблюдения показывают, что линии в спектрах всех известных галактик смещены к красному концу спектра. Это явление было названо красным смещением. При этом отношение смещения спектральной линии Δλ = λ - λ0 к длине волны λ0 оказалось для всех линий одинаковым в спектре данной галактики. Отношение где λ0 — длина волны спектральной линии, наблюдаемой в лаборатории, характеризует красное смещение.

Общепринятая в настоящее время интерпретация этого явления связана с эффектом Доплера, согласно которому смещение спектральных линий вызвано движением (удалением) излучающего объекта (галактики) со скоростью v по направлению от наблюдателя. При малых красных смещениях (z « 1) скорость объекта может быть найдена по формуле Доплера:

Скорость объекта может быть найдена по формуле Доплера

где с = 3 • 105 км/с — скорость света.

После того как по красному смещению были найдены расстояния до галактик, известный астроном Э. Хаббл установил интересную зависимость, названную законом Хаббла: скорости удаления галактик возрастают прямо пропорционально расстоянию до них:

ν = Hr.                         (17.2)

В этой формуле коэффициент пропорциональности Н называется постоянной Хаббла. Ее числовое значение зависит от выбранных единиц измерения. Если в законе Хаббла скорость выражена в километрах в секунду, а расстояние — в мегапарсеках, то постоянная Хаббла Н = 75 км/(с • Мпк).

Используя закон Хаббла, удается измерить расстояния до галактик по их красному смещению.

Так, самый близкий к нам квазар 3C273 имеет красное смещение z = 0,158. Это означает, что он удаляется от нас со скоростью ν = cz = 3 • 105 • 0,158 = 47 400 (км/с). Из закона Хаббла следует, что расстояние до него r = ν/H = 632 Мпк = 2 млрд св. лет.


Самые большие объекты во Вселенной — галактики представляют собой гигантские звездные острова, похожие и не похожие на наш Млечный Путь. По спектрам галактик установили, что они разбегаются от нас со скоростью, пропорциональной расстоянию до галактики.


Вопросы к параграфу

1. Перечислите основные типы галактик.

2. Что такое красное смещение?

3. С помощью какого эффекта объясняют красное смещение в спектрах галактик?

4. Сформулируйте закон Хаббла.

<<< К началу

 

 

???????@Mail.ru