Главная >> Физика 11 кл. Мякишев

Глава 17. Строение Вселенной

§ 126. Строение и эволюция Вселенной

Наука, изучающая строение и эволюцию Вселенной, называется космологией (от греческих слов космос — мир, Вселенная и логос — учение).

Большое значение для развития современных представлений о строении и развитии Вселенной имеет общая теория относительности, созданная А. Эйнштейном (1879— 1955). Она обобщает теорию тяготения Ньютона на большие массы вещества и скорости его движения, сравнимые со скоростью света. Действительно, в галактиках сосредоточена колоссальная масса вещества, а скорости далеких галактик и квазаров сравнимы со скоростью света. Согласно общей теории относительности, гравитационное взаимодействие передается с конечной скоростью, равной скорости света. (В теории Ньютона считается, что гравитационное взаимодействие передается мгновенно.)

Общая теория относительности накладывает определенные ограничения на геометрические свойства пространства, которое уже нельзя считать евклидовым. Согласно этой теории, движение и распределение материи в пространстве нельзя рассматривать в отрыве от геометрических свойств пространства и времени.

Расширяющаяся Вселенная

Впервые космологическую модель Вселенной в рамках общей теории относительности рассмотрел советский математик А. Фридман. Он показал, что Вселенная, однородно заполненная веществом, должна быть нестационарной, и исходя из этого объяснил наблюдаемую картину разбегания галактик. Он показал, что в зависимости от средней плотности вещества Вселенная должна либо расширяться, либо сжиматься. При расширении Вселенной скорость разбегания галактик должна быть пропорциональна расстоянию до них — вывод, который подтвердил Хаббл открытием красного смещения в спектрах галактик.

Критическое значение плотности вещества, от которой зависит характер его движения:

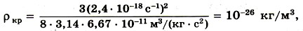
Критическое значение плотности вещества

где G — гравитационная постоянная, а Н — постоянная Хаббла.

Помня, что 1 пк = 3,08 • 1013 км и поэтому 1 Мпк = = 3,08 • 1019 км, найдем Н = 2,4 • 10-18 с-1. Тогда согласно формуле (17.3) критическая плотность вещества:

Критическая плотность вещества

или

ρкр = 10-29 г/см3.

Если средняя плотность Вселенной больше критической (ρ > ρкр)9 то в будущем расширение Вселенной сменится сжатием, а при средней плотности, равной или меньшей критической (ρ ≤ ρкр), расширение не прекратится.

Средняя плотность вещества, сосредоточенная в виде звезд в галактиках, равна приблизительно 2 • 10-30 кг/см3, что почти в 5 раз меньше критической.

Но делать выводы о бесконечном расширении Вселенной пока преждевременно, так как некоторые астрономы высказывают предположение о существовании в галактиках вещества, которое пока еще не обнаружено. Эта «скрытая масса» может изменить оценку принятой сейчас средней плотности вещества во Вселенной. Поэтому точного ответа на вопрос о будущем Вселенной в настоящее время не имеется.

Окончание >>>

 

 

???????@Mail.ru