Главная >> Физика. 11 класс. Пурышева

Глава 4. Оптика

Ход лучей в зеркалах, призмах и линзах

Ход лучей в линзах

3. Вы уже знаете, что линза — это прозрачное тело, ограниченное двумя сферическими поверхностями.

Существуют два типа линз: собирающие и рассеивающие. Собирающие линзы преобразуют световые пучки в сходящиеся, рассеивающие линзы — в расходящиеся.

На рисунке 102 точкой О обозначен оптический центр линзы, точками О1 и O2 — центры сферических поверхностей, ограничивающих линзу. Прямую, соединяющую центры сферических поверхностей и оптический центр линзы, называют главной оптической осью.

    Рис. 102

Все другие прямые, проходящие через оптический центр, называют побочными оптическими осями.

Для построения изображения предмета в линзе необходимо воспользоваться лучами, ход которых известен. Как вы знаете, луч, проходящий через оптический центр линзы, не преломляется. Луч, параллельный главной оптической оси, после преломления пройдёт через точку, называемую главным фокусом линзы. Эта точка обозначается буквой F. В фокусе собираются после преломления линзой все лучи, падающие на неё параллельно главной оптической оси. Фокусное расстояние линзы — расстояние от центра линзы до главного фокуса. Это расстояние также обозначается буквой F. Плоскость, перпендикулярную главной оптической оси и проходящую через главный фокус линзы, называют фокальной плоскостью.

Поскольку световые лучи обратимы, то падающий на линзу луч, проходящий через её главный фокус, после преломления будет параллелен главной оптической оси. Этот луч также можно использовать при построении изображения.

Построим изображение предмета в тонкой линзе, т. е. в линзе, толщина которой много меньше радиусов сферических поверхностей.

На рисунке 103, а представлен ход лучей в собирающей линзе. Предмет помещён от собирающей линзы на расстоянии d > 2F. Изображение предмета действительное уменьшенное перевёрнутое, расположено на расстоянии F < ƒ < 2F. В этом случае и фокус, и расстояние от линзы до предмета, и от линзы до изображения действительные, и потому их значения положительны.

На рисунке 103, б представлен ход лучей в рассеивающей линзе. Напомним, что у рассеивающей линзы фокус мнимый, в нём пересекаются продолжения преломлённых лучей. Поэтому фокусное расстояние и расстояние от линзы до изображения имеют отрицательные значения.

    ход лучей в собирающей линзе.

Формула линзы

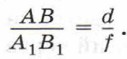
4. Получим выражение, связывающее три величины: расстояние d от предмета до линзы, расстояние ƒ от линзы до изображения и фокусное расстояние линзы F.

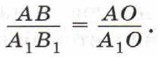
Построим изображение предмета в собирающей линзе (рис. 104) и рассмотрим два треугольника АОВ и А1ОВ1. Эти треугольники подобны, так как имеют равные углы. Запишем отношение соответствующих сторон:

    Рис. 104

Поскольку АО = d, а А1О = ƒ, то

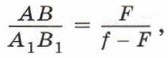
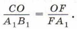
Из подобия треугольников COF и A1FB следует

Поскольку СО = АВ и OF = F, a FA1 = ƒ - F, то

или

<<< К началу      Окончание >>>

 

 

???????@Mail.ru