Главная >> Физика. 11 класс. Пурышева

Глава 4. Оптика

§ 27. Ход лучей в зеркалах, призмах и линзах (окончание)

Умножив обе части равенства на ƒ(ƒ - F), а затем разделив на dƒF, получим

    формулой тонкой линзы

Записанную формулу называют формулой тонкой линзы.

Величину D, обратную фокусному расстоянию, называют оптической силой линзы.

    оптической силой линзы

Единица оптической силы линзы в СИ — диоптрия (дптр).

    диоптрия

1 дптр — оптическая сила линзы, фокусное расстояние которой 1 м.

Оптическая сила собирающей линзы положительна (D > 1), оптическая сила рассеивающей линзы отрицательна (D < 1).

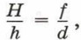
Как вы знаете, изображение предмета в линзе может быть как больше, так и меньше самого предмета. Для характеристики соотношения размеров предмета и его изображения вводят величину, называемую увеличением линзы.

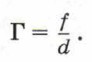
Увеличение линзы Г равно отношению размеров изображения к размерам предмета.

    Увеличение линзы

где Н — высота изображения, h — высота предмета.

Из подобия треугольников АОВ и А1ОВ1 (см. рис. 104) следует, что или

    Вопросы для самопроверки

1. Как изменяет стеклянная призма ход лучей, падающих на неё из воздуха?

2. От чего зависит угол отклонения стеклянной призмой лучей, падающих на неё из воздуха?

3. Почему прямоугольная стеклянная призма с равными рёбрами поворачивает падающие на неё лучи (см. рис. 101, а)?

4. Назовите основные линии и точки линзы.

5. Какими лучами удобно пользоваться при построении изображения предмета в линзе?

6. Какие величины связывает формула линзы?

    Упражнение 21

1. Постройте изображение предмета в плоском зеркале (рис. 105). *Докажите, что изображение симметрично предмету относительно зеркала.

    Рис. 105

2. Начертите ход лучей в призме (рис. 106).

    Рис. 106

3. Постройте изображение в собирающей линзе предмета, находящегося от линзы на расстоянии d = 2F; F < d < 2F; d = F; d < F. Охарактеризуйте изображение для каждого случая. Постройте изображение предмета в рассеивающей линзе для любого положения предмета.

4. Предмет расположен на главной оптической оси собирающей линзы, фокусное расстояние которой 10 см. Чему равно расстояние от линзы до изображения, если расстояние от предмета до линзы 50 см? Чему равно увеличение линзы? Каков размер изображения, если размер предмета 40 см?

    Ответы

4. 12,5 см; 0,25; 10 см.

<<< К началу

 

 

???????@Mail.ru