Главная >> Физика. 11 класс. Пурышева

Глава 5. Основы специальной теории относительности

Относительность длины отрезков и промежутков времени

Относительность длины отрезков

1. В классической физике расстояние между двумя точками (разность координат точек) является величиной инвариантной, т. е. не меняется при переходе от одной инерциальной системы отсчёта к другой. Посмотрим, является ли инвариантным расстояние между двумя точками в теории относительности.

Ещё раз обратимся к мысленному опыту с вагоном. На этот раз будем измерять его длину. Установим на передней и задней стенках вагона приборы, которые будут «срабатывать» и оставлять метки на земле в тот момент, когда к ним подойдёт луч света. В момент прохождения вагона мимо наблюдателя, находящегося на платформе, в вагоне зажигается лампочка (см. рис. 128).

Для наблюдателя, находящегося в вагоне, свет дойдёт до передней и задней стенок вагона одновременно, приборы «сработают» тоже одновременно и расстояние между метками будет равно длине вагона.

С точки зрения наблюдателя на платформе свет дойдёт сначала до задней стенки вагона, а потом до передней. За это время вагон успеет несколько продвинуться, поэтому для этого наблюдателя расстояние между метками будет больше длины вагона. Это расстояние не является длиной вагона, поскольку при измерении длины метки, оставляемые приборами, должны появляться одновременно в данной системе отсчёта. Следовательно, длина вагона для наблюдателя на платформе будет меньше, чем для наблюдателя в вагоне, на величину υ(t1 - t2), где t1 и t2 — время достижения светом передней и задней стенок вагона.

Таким образом, если два движущихся друг относительно друга наблюдателя измеряют один и тот же отрезок, они получают разные значения его длины.

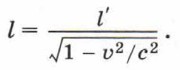
Если l — длина стержня в неподвижной системе отсчёта, l’ — длина стержня в движущейся системе отсчёта, то

    Рис.

Следовательно, в разных системах отсчёта один и тот же стержень имеет различную длину; максимальную длину он имеет в той системе отсчёта, в которой он покоится; в системе отсчёта, по отношению к которой он движется, его длина тем меньше, чем больше скорость движения.

Иногда длину стержня l в системе отсчёта, относительно которой он покоится, называют собственной длиной.

Следует иметь в виду, что сокращаются только размеры стержня, параллельные направлению движения системы отсчёта.

Относительность длины противоречит нашему житейскому опыту. В обыденной жизни, в технике мы не замечаем изменения длины движущихся тел потому, что скорости, с которыми мы имеем дело, значительно меньше скорости света.

Скорость света — предельная скорость движения

2. Посмотрим, чему равна длина стержня в системе отсчёта, движущейся со скоростью света. Если υ = с, то и, следовательно, длина стержня в системе отсчёта, движущейся со скоростью света, l’ = 0, чего быть не может. Значит, никакая система отсчёта не может двигаться относительно другой со скоростью света. Так как систему отсчёта можно связать с любым телом, то и никакой вещественный объект не может достичь скорости света. Таким образом, скорость света является предельной скоростью движения.

Продолжение >>>

 

 

???????@Mail.ru