Главная >> Физика. 11 класс. Пурышева

Глава 5. Основы специальной теории относительности

Относительность длины отрезков и промежутков времени (продолжение)

Релятивистский закон сложения скоростей

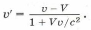
3. В теории относительности при переходе от одной системы отсчёта к другой закон преобразования скоростей записывается иначе, чем в классической механике:

где υ — скорость тела в неподвижной системе отсчёта, υ' — скорость тела в подвижной системе отсчёта, V — скорость подвижной системы отсчёта относительно неподвижной.

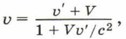
При обратном переходе:

Это выражение представляет собой релятивистский закон сложения скоростей.

Относительность промежутков времени

4. В классической механике считается, что время во всех системах отсчёта течёт одинаково. Это означает, что если какой-то физический процесс длится определённое время в неподвижной системе отсчёта, то его длительность в движущейся системе отсчёта будет такой же.

В теории относительности следует ожидать, что длительность физического процесса в разных системах отсчёта будет различной.

Обратимся к мысленному эксперименту. Пусть вдоль платформы движется вагон длиной s = 6 600 000 км со скоростью υ = 240 000 км/с. У задней стенки вагона вспыхивает лампочка (рис. 129). Для наблюдателя, движущегося вместе с вагоном, промежуток времени, через который свет дойдёт до передней стенки вагона, равен

С точки зрения наблюдателя, находящегося на платформе, свет будет «догонять» переднюю стенку вагона, следовательно, он встретится с ней через промежуток времени, равный

Из этого примера видно, что промежуток времени между двумя событиями (вспышка лампочки и встреча луча света с передней стенкой вагона) с точки зрения наблюдателя, находящегося в вагоне, меньше, чем промежуток между этими же событиями с точки зрения наблюдателя, находящегося на платформе.

Таким образом, в теории относительности промежуток времени между одной и той же парой событий различен в разных системах отсчёта.

    Рис. 129

Рассмотрим два события, происходящие в одной точке пространства. Промежуток времени между этими событиями в системе отсчёта К, относительно которой эти события происходят в одной точке, равен τ = t2 - t1. Промежуток времени между этими событиями в системе К', движущейся со скоростью относительно системы отсчёта К, равен τ' = t'2 - t'1.

Из формулы следует, что промежуток времени между двумя событиями имеет наименьшую длительность в той системе отсчёта, в которой оба события произошли в одной и той же точке пространства. Во всех других системах отсчёта он будет иметь тем большую длительность, чем больше скорость движения.

Движущиеся часы по сравнению с неподвижными отстают. Часто говорят, что в движущейся системе отсчёта происходит замедление времени. Точно так же, как относительность длины, замедление времени связано с движением системы отсчёта.

Итак, промежуток времени между двумя событиями — величина относительная, зависящая от скорости движения системы отсчёта. Время, измеренное по часам, движущимся вместе с тем телом, с которым происходят события, называют собственным временем для данного процесса.

<<< К началу      Окончание >>>

 

 

???????@Mail.ru