Главная >> Физика 8 класс. Пурышева

Глава 2. Механические свойства жидкостей, газов и твёрдых тел

Сообщающиеся сосуды

3. Изменим условия опыта: в левую трубку нальём воду, а в правую — масло, плотность которого меньше плотности воды. Увидим, что уровень воды в левой трубке будет ниже, чем уровень масла в правой трубке (рис. 29).

    Рис. 29

Это объясняется тем, что давление жидкости на дно сосуда зависит от высоты столба жидкости и от её плотности. При одинаковом давлении чем больше плотность жидкости, тем меньше высота её столба. В данном опыте плотность масла меньше плотности воды, поэтому высота столба масла выше высоты столба воды.

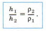
Этот вывод можно получить аналитически (используя преобразования формул). Пусть плотность воды ρ1 высота столба воды h1, давление столба воды на дно сосуда р1 = ρ1gh1. Плотность масла ρ2, высота столба масла h2, его давление на дно р2 = ρ2gh2.

Поскольку р1 = р2, то ρ1gh1 = ρ2gh2. Откуда ρ1h1 = ρ2h2 или

    плотность

Таким образом,

жидкости, имеющие разную плотность, устанавливаются в сообщающихся сосудах на разных уровнях; во сколько раз плотность одной жидкости больше плотности другой, во столько раз меньше высота её столба при равенстве давлений.

    Вопросы для самопроверки

1. Какие сосуды называют сообщающимися?

2. Приведите примеры сообщающихся сосудов.

3. Почему в сообщающихся сосудах уровни однородной жидкости одинаковы, а жидкостей, имеющих разную плотность, различны?

4. Каково соотношение между высотами столбов жидкостей разной плотности в сообщающихся сосудах и их плотностями?

    Задание 9

1. Объясните принцип работы жидкостного манометра.

2. В одном колене сообщающихся сосудов находится вода, а в другом — ртуть. Чему равна высота столба воды, если высота столба ртути 2 см? Плотность воды 1000 кг/м3, плотность ртути 13 600 кг/м3.

3. В одном колене сообщающихся сосудов находится вода, а в другом — керосин. Уровень какой жидкости выше и во сколько раз? Плотность керосина 800 кг/м3.

    Ответы к заданиям

2. 27,2 см.

3. Воды в 1,25 раза.

<<< К началу

 

 

???????@Mail.ru