Главная >> Физика 8 класс. Пурышева

Глава 2. Механические свойства жидкостей, газов и твёрдых тел

§ 11. Гидравлическая машина. Гидравлический пресс

    В чём заключается закон сообщающихся сосудов?

    Дают ли простые механизмы выигрыш в работе?

1. Закон Паскаля находит широкое применение в технике, например в гидравлических машинах.

Гидравлические машины — это машины, действие которых основано на законах движения и равновесия жидкостей.

Основной частью любой гидравлической машины являются два соединённых между собой цилиндра разного диаметра, снабжённых поршнями (рис. 30). Цилиндры заполнены жидкостью, чаще всего маслом, и представляют собой, таким образом, сообщающиеся сосуды.

    Гидравлические машины

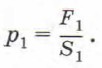
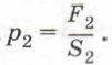
2. Рассмотрим, как работает гидравлическая машина. Пусть на большой поршень площадью S1 действует сила F1. Эта сила будет оказывать на поршень давление р1:

    на поршень давление

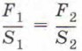
Давление р1 передаётся жидкости, находящейся под большим поршнем. Согласно закону Паскаля, давление, производимое на жидкость или газ, передаётся по всем направлениям без изменения. Следовательно, давление будет передаваться жидкости, находящейся под малым поршнем площадью S2, и на него со стороны жидкости будет действовать давление р2 = p1 Соответственно на малый поршень со стороны жидкости будет действовать сила F2 = p2S2, направленная вверх. Откуда

Чтобы жидкость и поршни находились в равновесии, на малый поршень следует подействовать силой F, равной по модулю силе F2 и направленной вертикально вниз. Для этого можно, например, положить на поршень груз.

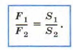
Так как р1 = р2, то или

Поскольку для площадей поршней выполняется соотношение S2 < S1, то сила F2, действующая на малый поршень, меньше силы F1, действующей на большой поршень. Причём во сколько раз площадь малого поршня меньше площади большого, во столько же раз сила F2 меньше силы F1.

Продолжение >>>

 

 

???????@Mail.ru