Главная >> Физика 9 класс. Генденштейн. Кайдалов

§ 4. Путь при прямолинейном равноускоренном движении

Движение без начальной скорости (окончание)

РЕШИМ ЗАДАЧИ

1. Тело свободно падает из состояния покоя. Какое расстояние оно пролетит за 1 с? за 2 с? за вторую секунду падения?

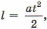
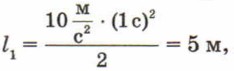
Решение. При свободном падении тело движется с ускорением свободного падения . При падении из состояния покоя Отсюда следует, что за 1 с тело пролетит путь а за 2 с — путь Как и следовало ожидать, путь, пройденный за 2 с, в 4 раза больше, чем путь, пройденный за 1 с.

За вторую секунду тело пройдет путь l2 - l1 = 15 м.

Ответ: 5 м; 20 м; 15 м.

2. Разгоняющийся с места автомобиль за 4 с проехал 24 м. Движение автомобиля можно считать равноускоренным. С каким ускорением он двигался?


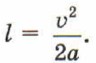
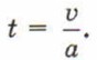
В некоторых задачах требуется найти пройденный телом путь, если время движения неизвестно, но известны ускорение и конечная скорость тела.

Время движения можно выразить через конечную скорость и ускорение:

Подставляя это выражение в формулу получим

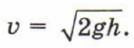
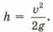
Из этой формулы следует, в частности, что при свободном падении высота h, с которой падает тело, и его конечная скорость связаны соотношением

Это соотношение позволяет найти конечную скорость тела при падении с заданной высоты

    Тело свободно падает с высоты 80 м. Какова скорость тела у поверхности Земли?

<<< К началу

 

 

???????@Mail.ru