Главная >> Физика 9 класс. Генденштейн. Кайдалов

§ 4. Путь при прямолинейном равноускоренном движении

Движение с начальной скоростью

Ниже мы покажем, что

если тело движется прямолинейно равноускоренно с начальной скоростью 0 и ускорением , причем направление ускорения совпадает с направлением начальной скорости, то

а если ускорение направлено противоположно начальной скорости, то

Обратите внимание: в первом случае скорость тела увеличивается, а во втором — уменьшается.

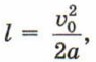
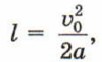
Если скорость тела уменьшается, то, как мы уже знаем, движение тела до его остановки продолжается в течение промежутка времени, равного . Поэтому формулой можно пользоваться только для моментов времени, не превышающих Расстояние, пройденное телом до остановки, находим из формулы

подставив в нее вместо t время движения тела до остановки, равное . После несложных расчетов мы получим, что

если тело движется прямолинейно равноускоренно с уменьшающейся скоростью, то до полной остановки оно пройдет путь

где υ0 — модуль начальной скорости, а — модуль ускорения.

Обратите внимание: этот путь (для средств транспорта его называют тормозным путем) пропорционален квадрату начальной скорости!

РЕШИМ ЗАДАЧУ

При торможении на сухом асфальте автомобиль движется с ускорением, равным по модулю Чему равен тормозной путь автомобиля, если он едет со скоростью Каким будет его тормозной путь при гололеде, когда модуль ускорения


Обратите внимание: даже на сухом асфальте тормозной путь автомобиля в несколько раз больше длины вашего класса, а во время гололеда тормозной путь еще в 2,5 раза больше!

    Тело брошено вертикально вверх со скоростью 20 м/с. На какую высоту оно поднимется?

 

 

???????@Mail.ru