Главная >> Физика 9 класс. Генденштейн. Кайдалов

§ 4. Путь при прямолинейном равноускоренном движении

Вывод формул для пути при прямолинейном равноускоренном движении

Напомним, что пройденный телом путь численно равен площади фигуры под графиком скорости (см. § 3. Прямолинейное равноускоренное движение).

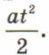
В случае прямолинейного равноускоренного движения без начальной скорости υ = at. Поэтому фигура под графиком скорости — это прямоугольный треугольник с катетами t и at (рис. 4.2, а). Его площадь равна Следовательно, путь

    К выводу зависимости пути от времени при равноускоренном движении

    Рис. 4.2. К выводу зависимости пути от времени при равноускоренном движении

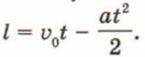
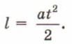
Если начальная скорость тела равна υ0 и его скорость увеличивается, то υ = υ0 + at. В этом случае фигура под графиком скорости состоит из прямоугольника площадью υ0t и прямоугольного треугольника площадью (рис. 4.2, б). Следовательно, путь

    Докажите, пользуясь графиком, изображенным на рис. 4.2, в, что при прямолинейном равноускоренном движении с уменьшающейся скоростью путь

 

 

???????@Mail.ru