Главная >> Физика 9 класс. Генденштейн. Кайдалов

§ 5. Равномерное движение по окружности

Период и частота обращения (окончание)

Число полных оборотов за 1 с называют частотой обращения и обозначают ν.

Частоту измеряют в Частота не всегда выражается целым числом. Например, если тело совершает полный оборот за 2 с, то

Докажем, что

период и частота являются взаимно обратными величинами:

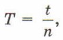
Предположим, что тело совершило n полных оборотов за время t. Тогда период обращения

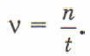
а число оборотов в секунду, то есть частота обращения

Полученные выражения для Т и ν являются взаимно обратными. Доказательство завершено.

Чему равна частота обращения, если период равен 5 с?

Чему равен период обращения, если частота равна

Во сколько раз частота обращения минутной стрелки часов больше частоты обращения часовой стрелки?

<<< К началу

 

 

???????@Mail.ru