Главная >> Физика 9 класс. Генденштейн. Кайдалов

§ 5. Равномерное движение по окружности

Период и частота обращения

Промежуток времени, в течение которого тело, равномерно движущееся по окружности, совершает один полный оборот, называют периодом обращения и обозначают Т.

Чему равен период обращения часовой стрелки часов? минутной? секундной?

Чему равен период обращения Земли вокруг Солнца?

Найдем, как связаны период обращения Т, радиус окружности R и модуль скорости υ.

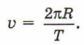
За время одного полного оборота Т тело проходит путь l = 2πR, равный длине окружности.

Поэтому

при равномерном движении по окружности модуль скорости тела υ, радиус окружности R и период обращения Т связаны соотношением

Это соотношение позволяет найти любую из величин v, R и Т, если известны две другие.

РЕШИМ ЗАДАЧУ

Какова скорость движения Земли на ее орбите вокруг Солнца? Выразите эту скорость в километрах в секунду. Расстояние от Земли до Солнца можно принять равным 150 млн км.

Решение. Период Т обращения Земли при ее движении вокруг Солнца равен 1 году. Выражая период в секундах, получим Т = 365 • 24 • 3600 с ≈ 3,15 • 107 с. Следовательно,

Ответ:


Окончание >>>

 

 

???????@Mail.ru