Главная >> Физика 9 класс. Генденштейн. Кайдалов

§ 12. Импульс. Закон сохранения импульса

Неупругое столкновение движущихся тел (окончание)

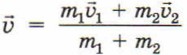
Рассмотрим теперь случай, когда тела до столкновения движутся навстречу друг другу. Тогда в числителе формулы стоит сумма противоположно направленных векторных величин.

Это тоже векторная величина. Ее направление совпадает с направлением того слагаемого, модуль которого больше. Следовательно, скорость тела, образовавшаяся в результате неупругого столкновения, направлена так же, как скорость того тела, которое до столкновения имело больший по модулю импульс.

При нахождении же модуля суммы противоположно направленных векторных величин модули их вычитаются (см. § 1. Механическое движение. Система отсчета). Рассмотрим пример.

РЕШИМ ЗАДАЧУ

Две тележки едут навстречу друг другу. Масса красной тележки 20 кг, а масса зеленой 30 кг. Скорости тележек равны соответственно 1 и Тележки сцепляются. Как направлена скорость тележек после сцепки: в сторону движения красной или зеленой тележки? Чему равна эта скорость? Трением можно пренебречь.

    РЕШИМ ЗАДАЧУ

<<< К началу

 

 

???????@Mail.ru