Главная >> Физика 9 класс. Генденштейн. Кайдалов

§ 12. Импульс. Закон сохранения импульса

Неупругое столкновение движущихся тел

До сих пор мы рассматривали случаи неупругого столкновения двух тел, когда одно или оба тела до взаимодействия покоились. Рассмотрим теперь случаи, когда до столкновения оба тела движутся вдоль одной прямой.

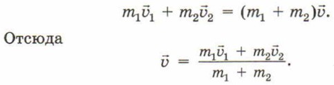
Обозначим массы тел m1 и m2, а их скорости — соответственно 11 и 2. После столкновения тела движутся как одно тело массой m1 + m2. Обозначим скорость этого тела . Из закона сохранения импульса следует, что

Если сталкивающиеся тела движутся в одном направлении, то в числителе дроби стоит сумма одинаково направленных векторных величин. При нахождении модуля суммы этих величин модули их складываются. Рассмотрим конкретный пример.

РЕШИМ ЗАДАЧУ

Тележка массой 30 кг, движущаяся со скоростью нагоняет другую тележку массой 20 кг, движущуюся со скоростью Тележки сцепляются. Чему равна скорость тележек после сцепки? Трением можно пренебречь.


Окончание >>>

 

 

???????@Mail.ru