Главная >> Физика 9 класс. Перышкин. Онлайн учебник

Лабораторная работа № 2

Измерение ускорения свободного падения

Цель работы

Измерить ускорение свободного падения с помощью прибора для изучения движения тел.

Оборудование

Прибор для изучения движения тел; штатив с муфтой и лапкой.

Описание устройства и действия прибора

Прибор для изучения движения тел (рис. 194) состоит из направляющей 1 длиной 60—70 см; бруска 2 с пусковым магнитом 3, закреплённым на торце алюминиевого стержня; электронного секундомера 4 с двумя датчиками 5. Направляющая укрепляется вертикально в лапке штатива 6. Под рейку подкладывается коврик 7 из пористого пластика. Магнитные датчики 5 могут быть установлены в любом месте направляющей на магнитной резине, расположенной вдоль направляющей рядом со шкалой с миллиметровыми делениями.

В момент прохождения пускового магнита мимо первого датчика начинается отсчёт времени; при прохождении второго датчика на экране секундомера высветится числовое значение промежутка времени t, за который брусок прошёл расстояние между датчиками.

Теоретические обоснования

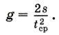
Измерив расстояние s между установленными на направляющей датчиками времени и промежуток времени t, за который это расстояние было пройдено бруском, можно рассчитать ускорение свободного падения по формуле:

Указания к работе

1. Соберите установку по рисунку 194, а.

2. Прочтите инструкцию на тыльной стороне секундомера и включите его.

3. Приложите брусок к направляющей так, чтобы её пусковой магнит находился выше первого датчика времени (рис. 194, б).

4. Отпустите брусок. Определите промежуток времени, за который брусок проходит расстояние s между датчиками.

5. Не меняя расположения датчиков, проведите опыт ещё 4 раза. Рассчитайте среднее время движения бруска:

среднее время движения

6. Вычислите ускорение свободного падения по формуле:

ускорение свободного падения

7. Занесите в таблицу 4 результаты всех измерений и вычислений.

8. Определите отклонение полученного вами значения g от действительного его значения g0 = 9,8 м/с2 (т. е. найдите разность между ними). Вычислите, какую часть (в %) составляет эта разность от значения g0. Это отношение называется относительной погрешностью и обозначается буквой ε. Чем меньше относительная погрешность, тем выше точность измерений.

Таблица 4

П р и м е ч а н и е: при аккуратной работе с прибором можно добиться того, чтобы относительная погрешность не превышала 10%.

 

 

???????@Mail.ru