Главная >> Физика 9 класс. Перышкин. Онлайн учебник

Лабораторная работа № 3

Исследование зависимости периода и частоты свободных колебаний нитяного маятника от его длины

Цель работы

Выяснить, как зависят период и частота свободных колебаний нитяного маятника от его длины.

Оборудование

Штатив с муфтой и лапкой, шарик с прикреплённой к нему нитью длиной 130 см, протянутой сквозь кусочек резины1, часы с секундной стрелкой или секундомер сотового телефона.

    1 Кусочек резины (в данном случае ластик) используется для того, чтобы нить не выскальзывала из лапки штатива и чтобы можно было быстро и точно установить нужную длину маятника. Нить протягивается сквозь резину с помощью иголки.

Указания к работе

1. Соберите установку по рисунку 195. При этом длина маятника должна быть равна 5 см, как указано в таблице 5 для первого опыта. Длину маятника измеряйте так, как показано на рисунке, т. е. от точки подвеса до середины шарика.

2. Для проведения первого опыта отклоните шарик от положения равновесия на небольшую амплитуду (1—2 см) и отпустите. Измерьте промежуток времени t, за который маятник совершит 30 полных колебаний. Результаты измерений запишите в таблицу 5.

Таблица 5

3. Проведите остальные четыре опыта так же, как и первый. При этом длину маятника каждый раз устанавливайте в соответствии с её значением, указанным в таблице 5 для данного опыта.

4. Для каждого опыта вычислите и запишите в таблицу 5 значения периода Т колебаний маятника.

У к а з а н и е: при выполнении п. 4 и 5 штатив следует ставить на край стола, чтобы колебания маятника происходили над полом.

5. Для каждого опыта рассчитайте значения частоты v колебаний маятника по формуле: или Полученные результаты занесите в таблицу 5.

6. Сделайте выводы о том, как зависят период и частота свободных колебаний маятника от его длины. Запишите эти выводы.

7. Ответьте на вопросы.

Увеличили или уменьшили длину маятника, если: а) период его колебаний сначала был 0,3 с, а после изменения длины стал 0,1 с; б) частота его колебаний вначале была равна 5 Гц, а потом уменьшилась до 3 Гц?

Дополнительное задание

Цель задания

Выяснить, какая математическая зависимость существует между длиной маятника и периодом его колебаний.

Указания к работе

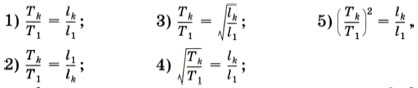
1. Пользуясь данными таблицы 5, вычислите и запишите приведённые в таблице 6 отношения периодов и длин (при вычислении отношений периодов округляйте результаты до целых чисел).

2. Сравните результаты всех четырёх столбцов таблицы 6 и постарайтесь найти в них общую закономерность. На основании этого выберите из пяти приведённых ниже равенств те, которые верно отражают зависимость между периодом колебаний маятника Т и его длиной :

где k может принимать следующие значения: 2, 3, 4, 5; например,

3. Из пяти приведённых ниже утверждений выберите верное.

При увеличении длины нити маятника в 4 раза период его колебаний: а) увеличивается в 4 раза; б) уменьшается в 4 раза; в) увеличивается в 2 раза; г) уменьшается в 2 раза; д) увеличивается в 16 раз.

 

 

???????@Mail.ru