Главная >> Физика. 9 класс. Пурышева

Глава 1. Законы механики

Движение тела по окружности с постоянной по модулю скоростью

Быстроту обращения тела характеризуют угловой скоростью.

Угловой скоростью называют физическую величину, равную отношению угла поворота радиуса-вектора к промежутку времени, за который этот поворот произошёл.

Угловая скорость обозначается буквой ω.

    Угловая скорость

За единицу угловой скорости в СИ принимают радиан в секунду (1 рад/с):

    радиан

За время, равное периоду обращения Т, тело совершает полный оборот и угол поворота радиуса-вектора ω = 2π. Поэтому угловая скорость тела:

    угловая скорость тела

Линейная и угловая скорости связаны между собой. Запишем отношение линейной скорости к угловой:

    отношение линейной скорости к угловой:

Таким образом,

При одинаковой угловой скорости точек А и В, расположенных на равномерно вращающемся диске (рис. 39), линейная скорость точки А больше линейной скорости точки В: υ1 > υ2.

    Рис. 39

5. При движении тела по окружности с постоянной по модулю скоростью направление линейной скорости меняется. Поскольку скорость — величина векторная, то изменение направления скорости означает, что тело движется по окружности с ускорением.

Выясним, как направлено и чему равно это ускорение.

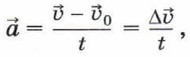
Напомним, что ускорение тела определяется по формуле:

    ускорение тела

где Δ — вектор изменения скорости тела.

Направление вектора совпадает с направлением вектора Δ.

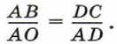
Пусть тело, движущееся по окружности радиусом R, за малый промежуток времени t переместилось из точки А в точку В (рис. 40). Чтобы найти изменение скорости тела Δ, в точку А перенесём параллельно самому себе вектор и вычтем из него 0, что равноценно сложению вектора с вектором -0. Вектор, направленный от 0 к , и есть вектор Δ.

Рассмотрим треугольники АОВ и ACD. Оба они равнобедренные (АО = ОВ и АС = AD, поскольку υ0 = υ) и имеют равные углы: ∠АОВ = ∠CAD (как углы со взаимно перпендикулярными сторонами: АО ⊥ 0, OB ⊥ ). Следовательно, эти треугольники подобны и можно записать отношение соответствующих сторон:

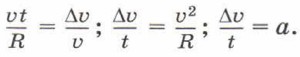
В том случае, когда точки А и В расположены близко друг к другу, хорда АВ мала и её можно заменить дугой . Длина дуги — путь, пройденный телом за время t с постоянной скоростью υ: АВ = υt.

Кроме того, АО = В, DC = Δυ, AD = υ. Следовательно,

Откуда ускорение тела

    ускорение тела

<<< К началу      Окончание >>>

 

 

???????@Mail.ru