Главная >> Физика. 9 класс. Пурышева

Глава 1. Законы механики

§ 10. Движение тела по окружности с постоянной по модулю скоростью

    Какое движение называют равномерным; равноускоренным?

    Какие характеристики движения являются векторными величинами; скалярными?

    Чему равна длина окружности?

1. Достаточно часто можно наблюдать движение тела окружности. Например, по окружности движется точка обода колеса при его вращении, точки вращающихся деталей станков, конец стрелки часов, ребёнок, сидящий на какой-либо фигуре вращающейся карусели.

При движении по окружности может изменяться не только направление скорости тела, но и её модуль. Рассмотрим наиболее простое движение по окружности, при котором изменяется только направление скорости, а её модуль остаётся постоянным. Такое движение называют движением тела по окружности с постоянной по модулю скоростью. Введём характеристики этого движения.

2. Движение тела по окружности повторяется через определённые промежутки времени, равные периоду обращения.

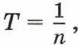
Периодом обращения называют время, в течение которого тело совершает один полный оборот.

Период обращения обозначают буквой Т. За единицу периода обращения в СИ принята секунда (1 с).

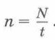
Если за время t тело совершило N полных оборотов, то период обращения равен:

    период обращения

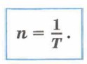
Частотой обращения называют число полных оборотов тела за одну секунду.

Частоту обращения обозначают буквой n.

    Частоту обращения

За единицу частоты обращения в СИ принята секунда в минус первой степени (1 с-1).

Частота и период обращения связаны следующим соотношением:

    Частота и период обращения

3. Рассмотрим величину, характеризующую положение тела на окружности. Пусть в начальный момент времени тело находилось в точке А, а за время t оно переместилось в точку B (рис. 38).

    ующую положение тела на окружности

Проведём радиус-вектор из центра окружности в точку А и радиус-вектор из центра окружности в точку В. При движении тела по окружности радиус-вектор повернётся за время t на угол φ. Зная угол поворота радиуса-вектора, можно определить положение тела на окружности.

Единица угла поворота радиуса-вектора в СИ — радиан (1 рад).

4. При движении тела по окружности мгновенную скорость называют линейной скоростью.

Линейная скорость тела, движущегося, по окружности, оставаясь постоянной по модулю, меняется по направлению и в любой точке направлена по касательной к траектории.

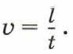
Модуль линейной скорости можно определить по формуле:

    Модуль линейной скорости

Пусть тело, двигаясь по окружности радиусом R, совершило один полный оборот. Тогда пройденный им путь равен длине окружности: l = 2πR, а время равно периоду обращения Т. Следовательно, линейная скорость тела:

    линейная скорость тела

Поскольку то можно записать

    υ = 2πRn.

Продолжение >>>

 

 

???????@Mail.ru