Главная >> Физика. 9 класс. Пурышева

Глава 1. Законы механики

§ 17. Движение тела под действием нескольких сил (окончание)

2. Чему равно удлинение троса при буксировке легкового автомобиля массой 1 т с ускорением 1 м/с2, если жёсткость троса 75 кН/м, а коэффициент трения 0,2?

Запишем это уравнение в проекциях на ось ОХ (рис. 58). Учтём при этом, что проекция силы упругости положительна, проекция силы трения отрицательна, а сила тяжести и сила реакции опоры, действующие на автомобиль в вертикальной плоскости, компенсируют друг друга.

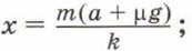
Получим:

    Рис. 58

Подставим в полученное равенство выражения для силы упругости Fynp = kх и силы трения Fтр = μmg:

    kx - μxmg = mа.

Выразим удлинение троса:

    Ответ: х = 0,04 м.

    Задание 16

1. Брусок массой 500 г скользит равномерно по деревянной площадке под действием силы тяги, равной 2,5 Н. Чему равен коэффициент трения бруска о дерево?

2. Ребёнок массой 20 кг, скатившись с горы на санках, проехал по горизонтальной поверхности до остановки 15 м за 10 с. Чему равен коэффициент трения полозьев санок о снег? Чему равна сила трения при движении санок?

3. К концам нити, перекинутой через неподвижный блок, прикреплены два груза массой 200 г каждый. На один из грузов положили перегрузок массой 50 г. Определите ускорение грузов и силу натяжения нити, считая, что массы нити и блока равны нулю и нить нерастяжима. *Чему равен вес перегрузка?

4. Два сцепленных вагона массой 2 т каждый соединены с локомотивом массой 3 т. Состав движется с ускорением 3 м/с2. Чему равны сила тяги, развиваемая локомотивом, сила упругости, возникающая в сцепке между вагонами и в сцепке между вагоном и локомотивом? Силой трения пренебречь.

    Ответы к заданиям

1. 0,5.

2. 0,03; 6 Н.

3. 1,1 м/с2; 2,2 Н; 0,45 Н.

4. 21 кН; 6 кН; 12 кН.

    Темы докладов и проектов

1. Движение тел в неинерциальных системах отсчёта.

2. «Математические начала натуральной философии» Ньютона.

3. Искусственные спутники Земли и исследование околоземного пространства.

<<< К началу

 

 

???????@Mail.ru