Главная >> Физика. 9 класс. Пурышева

Глава 1. Законы механики

Движение тела под действием нескольких сил

Следовательно, для полной остановки автомобиля нужны определённое время и тормозной путь. При этом значения этих величин тем больше, чем больше скорость автомобиля. В гололедицу при малом коэффициенте трения время и тормозной путь увеличиваются, поскольку уменьшается коэффициент трения; поэтому важно строго соблюдать ограничения скорости.

2. Очень часто встречаются случаи, когда в движении участвуют несколько тел, связанных между собой. Примером такого движения может быть движение автомобиля при его буксировке, движение вагонов поезда.

Рассмотрим несколько задач на движение связанных тел.

Пример решения задачи

1. К концам нити, перекинутой через неподвижный блок, прикреплены два груза массами 0,4 и 0,6 кг. Определите ускорение грузов и силу натяжения нити. Считать, что массы нити и блока равны нулю и нить нерастяжима.

    Рис.

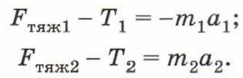
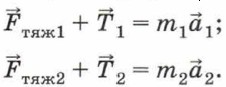
Для каждого тела в соответствии со вторым законом Ньютона запишем уравнение в векторной форме:

В проекциях на ось Y (рис. 57) эти уравнения можно записать:

    Рис. 57

Поскольку массой нити и блока можно пренебречь, то модули сил натяжения Т1 и Т2 равны, т. е. Т1 = Т2 = Т. Так как нить нерастяжима, то ускорения грузов по модулю одинаковы a1 = а2 = а.

Получим:

    m1g - Т = -m1а;

    m2g - Т = m2а.

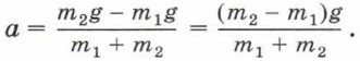
Сложим записанные уравнения почленно, умножив первое на (-1):

    m2g - m1g = m1a + m2a.

Откуда

Выразим силу натяжения нити Т из первого уравнения:

    Т = m1g + m1a.

Подставив выражение для ускорения, получим:

    Рис.

    Ответ: а = 2 м/с2; Т = 4,8 Н.

<<< К началу      Окончание >>>

 

 

???????@Mail.ru