Главная >> Физика. 9 класс. Пурышева

Глава 1. Законы механики

§ 17. Движение тела под действием нескольких сил

    Какую силу называют силой трения?

    Какие виды трения вам известны?

1. Обычно на тело действуют одновременно несколько сил. Наряду с силами тяжести и упругости почти всегда действует сила трения. Учитывать силу трения особенно необходимо в случаях, когда рассматривается движение транспорта.

Хорошо известно, что для избежания аварий следует сохранять определённую дистанцию между автомобилями; в дождливую погоду или в гололедицу она должна быть больше, чем в сухую погоду. Возникают вопросы: какой должна быть эта дистанция и как она зависит от скорости движения автомобиля? Чтобы на них ответить, рассмотрим задачу.

Пример решения задачи

Автомобиль, имея скорость 54 км/ч, начинает тормозить. Определите время торможения и тормозной путь, если коэффициент трения μ = 0,1.

    решения задачи

    Рис. 56

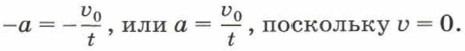
Запишем это уравнение в проекциях на оси координат, учи тывая, что (Fтяж)x = 0, (Fтяж)y = -Fтяж = -mg; Nx = 0, Ny = N; (Fтр)x = -Fтp, (Fтp)y = 0; ax= -a, ay = 0.

Получим

    ось OX: -Fтр = -mа, или Fтр = mа.

    ось OY: N - mg = 0, или N = mg.

Из последнего выражения видно, что поскольку в вертикальной плоскости автомобиль не движется, то сила тяжести и сила реакции опоры компенсируют друг друга.

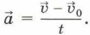
Ускорение автомобиля определяется по формуле: В проекциях на ось ОХ можно записать:

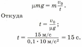
Сила трения:

    Fтр = μN = μmg.

В формулу Fтр = mа подставим выражения для Fтр и а, получим

Таким образом, время торможения зависит от скорости, с которой едет автомобиль, и от коэффициента трения.

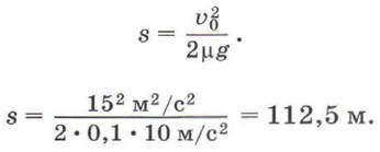
Путь, который автомобиль проходит до остановки, — тормозной путь — равен проекции на ось ОХ его перемещения и вычисляется по формуле:

    тормозной путь

Ускорение а = μg. Подставим его в формулу пути и получим

Тормозной путь прямо пропорционален квадрату скорости, с которой едет автомобиль, и обратно пропорционален коэффициенту трения.

Ответ: t = 15 с; s = 112,5 м.

Продолжение >>>

 

 

???????@Mail.ru