Главная >> Физика. 9 класс. Пурышева

Глава 1. Законы механики

Относительность механического движения

В этом случае перемещение человека относительно берега (неподвижной системы отсчёта) также равно геометрической сумме перемещения 1 человека относительно плота (подвижной системы отсчёта) и перемещения 2 плота относительно берега (подвижной системы отсчёта относительно неподвижной):

    = 1 + 2.

Для модуля перемещения человека формула имеет вид:

    s = s2 - s1.

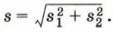
4. Пусть теперь человек идёт по плоту из точки А в точку В (рис. 19).

    человек идёт по плоту

И в этом случае перемещение человека относительно Земли равно сумме 1 и 2. Вектор перемещения , как видно из рисунка 19, в данном случае является гипотенузой прямоугольного треугольника, поэтому модуль перемещения человека относительно берега можно найти по теореме Пифагора:

    модуль перемещения

Таким образом,

перемещение тела в неподвижной системе отсчёта равно сумме его перемещения 1 в подвижной системе отсчёта и перемещения 2 подвижной системы отсчёта относительно неподвижной:

    правилом сложения перемещений

Это выражение называют правилом сложения перемещений.

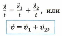
5. Чтобы определить скорость тела в неподвижной системе отсчёта, разделим почленно выражение для перемещения на время t:

    правилом сложения скоростей

где — скорость тела в неподвижной системе отсчёта, 1 — скорость тела в подвижной системе отсчёта, 2 — скорость подвижной системы отсчёта относительно неподвижной.

Это выражение называют правилом сложения скоростей.

Скорость тела в неподвижной системе отсчёта равна сумме скорости 1 в подвижной системе отсчёта и скорости 2 подвижной системы отсчёта относительно неподвижной.

6. В рассмотренных выше примерах в качестве неподвижной системы отсчёта выбиралась система отсчёта, связанная с берегом. За неподвижную систему отсчёта можно принять и систему отсчёта, связанную с плотом. Тогда система отсчёта, связанная с берегом, по отношению к системе отсчёта, связанной с плотом, будет являться подвижной системой отсчёта. При этом правила сложения перемещений и скоростей будут записываться в том же виде.

<<< К началу      Окончание >>>

 

 

???????@Mail.ru