Главная >> Физика. 9 класс. Пурышева

Глава 1. Законы механики

§ 3. Относительность механического движения (окончание)

7. Пример решения задачи

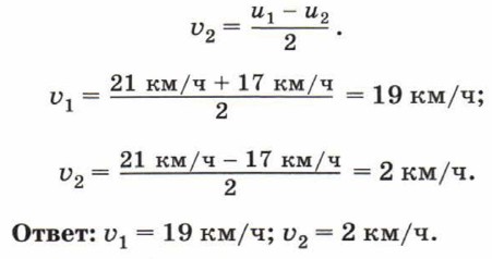
Теплоход движется вниз по течению реки со скоростью u1 = 21 км/ч относительно берега, а вверх по реке — со скоростью u2 = 17 км/ч. Чему равны скорость υ1 теплохода в стоячей воде и скорость υ2 течения реки?

    решения

Тогда υ1 — скорость теплохода в подвижной системе отсчёта, υ2 — скорость подвижной системы отсчёта относительно неподвижной.

Запишем правило сложения скоростей в векторной форме:

    правило сложения скоростей в векторной форме

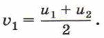
Для проекций скоростей на ось X можно записать:

    u1 = υ1 + υ2 (рис. 20, а);

    -u2 = -υ1 + υ2 (рис. 20, б), или u2 = υ1 - υ2.

    Рис. 20

Сложим почленно выражения для u1 и u2. Получим:

    u1 + u2 = 2υ1,

откуда

Вычтем почленно из выражения для u1 выражение для u2:

    u1 - u2 = 2υ2.

Отсюда

    Вопросы для самопроверки

1. Приведите примеры, позволяющие обосновать необходимость вычисления перемещения и скорости тела в разных системах отсчёта.

2. Сформулируйте правило сложения перемещений.

3. Чему равен модуль перемещения тела относительно неподвижной системы отсчёта, если: а) направления движения тела и подвижной системы отсчёта совпадают; б) тело и подвижная система отсчёта движутся в противоположные стороны; в) тело и подвижная система отсчёта движутся под прямым углом друг к другу?

4. Сформулируйте правило сложения скоростей.

    Задание 3

1. Велосипедист движется по прямолинейному гладкому участку дороги. Каковы траектории движения относительно велосипедиста и относительно стоящего на обочине человека рамы велосипеда; точки на ободе колеса; руля; точки на конце педали?

2. Одинаковое или разное время потребуется теплоходу для прохождения расстояния между двумя населёнными пунктами при движении по течению реки и против него, если скорость теплохода в стоячей воде постоянна? Ответ обоснуйте.

3. Человек идёт по плоту, движущемуся по течению реки. Длина плота 4 м, а его ширина 3 м. За время движения человека от одного конца плота к другому плот совершает перемещение 4 м относительно берега. Чему равно перемещение человека относительно берега при его движении, соответствующем рисункам 17—19?

4. Два автомобиля движутся навстречу друг другу со скоростями 20 и 25 м/с. Чему равна скорость движения второго автомобиля в системе отсчёта, связанной с первым автомобилем? Чему равна скорость движения второго автомобиля в этой же системе отсчёта, если автомобили движутся в одном направлении?

    Ответы к заданиям

3. 8 м; 0; 5 м.

4. 45 м/с; 5 м/с.

<<< К началу

 

 

???????@Mail.ru