Главная >> Физика. 9 класс. Пурышева

Глава 3. Электромагнитные колебания и волны

Переменный электрический ток

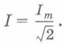
Пусть теперь по этому проводнику течёт постоянный ток в течение того же промежутка времени и при этом выделяется то же количество теплоты. Можно сказать, переменный ток производит такое же действие, что и постоянный, и действующее значение силы переменного тока равно силе постоянного тока.

Действующее значение силы переменного тока равно

    значение силы

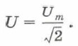
Действующее значение напряжения переменного тока равно

    значение напряжения

Если говорят, что напряжение в осветительных сетях 220 В или 127 В, то имеют в виду действующее значение напряжения.

5. Устройство генераторов переменного тока, которые используются в промышленности, достаточно сложно. Поскольку с клемм генератора снимают высокое напряжение, то используют не один виток, а значительное их число, и определённым образом соединяют между собой. Кроме того, в генераторах переменного тока обмотка, в которой индуцируется переменное напряжение, устанавливается неподвижно, а магниты, которые создают магнитное поле, вращаются (рис. 118).

    генератор

Ротор генератора может приводиться в движение с помощью паровой турбины (турбогенератор), гидротурбины (гидрогенератор), двигателя внутреннего сгорания.

Турбогенераторы, например, создают напряжение 13—15 кВ.

    Вопросы для самопроверки

1. Какой ток называют переменным?

2. Какова частота переменного тока в осветительной сети?

3*. Чему равны действующие значения силы тока и напряжения переменного тока?

4. Как устроен генератор переменного тока?

    Задание 34

1. Чем отличается переменный ток от постоянного?

2*. Чему равно амплитудное значение напряжения, если действующее значение равно 127 В; 220 В?

3*. Найдите действующее значение силы переменного тока, если максимальное значение силы тока 10 А.

4Д. Подготовьте сообщение о современных генераторах, используя различные источники информации, в том числе Интернет.

<<< К началу

 

 

???????@Mail.ru