Главная >> Физика. 9 класс. Пурышева

Глава 3. Электромагнитные колебания и волны

§ 37. Трансформатор

    Какой ток называют переменным?

    В чём состоит явление электромагнитной индукции?

1. Преимущества переменного тока по сравнению с постоянным были оценены далеко не сразу. Считается, что использование переменного тока началось с работ выдающегося русского электротехника и изобретателя Павла Николаевича Яблочкова (1847—1894). В 1876 г. он впервые применил переменный электрический ток для питания прообраза современной электрической лампочки — «свечи Яблочкова».

Одним из основных преимуществ переменного электрического тока является возможность изменения его напряжения и, как следствие, передача электрической энергии на очень большие расстояния, о чём более подробно пойдёт речь в следующем параграфе.

2. Для повышения или понижения напряжения используют трансформаторы. Трансформатор состоит из замкнутого стального сердечника, собранного из пластин, на который надеты две катушки с проволочными обмотками (рис. 119). Одна обмотка, называемая первичной, присоединяется к источнику переменного напряжения. Вторая обмотка, называемая вторичной, присоединяется к потребителям электроэнергии.

    трансформатор

3. В основе действия трансформатора лежит явление электромагнитной индукции. Рассмотрим принцип работы трансформатора, опуская некоторые детали. Пусть к первичной обмотке приложено напряжение U1 и сила тока в ней I1. При этом возникнет переменное магнитное поле, которое будет сконцентрировано внутри сердечника. Переменное магнитное поле, пронизывая витки вторичной обмотки, создаёт на её концах напряжение U2. Если катушка замкнута на лампочку, то по цепи этой обмотки пойдёт ток силой I2 и лампочка загорится.

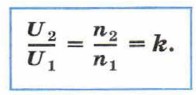
4. Напряжение на каждом витке первичной и вторичной обмоток одинаково и равно и. Следовательно, напряжение на каждой из обмоток — U1 = n1u, a U2 — n2u, где n1 и n2 — число витков первичной и вторичной обмоток трансформатора. Тогда можно записать:

Отношение напряжения на вторичной обмотке трансформатора к напряжению на первичной его обмотке равно отношению числа витков вторичной обмотки к числу витков первичной обмотки.

Величина, равная этому отношению, обозначается буквой k и называется коэффициентом трансформации.

Если вторичная обмотка имеет большее число витков, чем первичная, то трансформатор повышает напряжение; если вторичная обмотка имеет меньшее число витков, чем первичная, то трансформатор понижает напряжение.

Трансформатор, изображённый на рисунке 119, имеет одну обмотку, рассчитанную на 6 или 12 В, а другую — на 127 и 220 В. Если первую обмотку соединить с источником напряжения 127 или 220 В, то трансформатор будет понижающим: напряжение на второй обмотке будет равно б или 12 В. Если же на вторую подать напряжение 6 В, то трансформатор будет работать как повышающий: с первой обмотки можно будет снять напряжение 127 или 220 В.

Окончание >>>

 

 

???????@Mail.ru