Главная >> Физика. 9 класс. Пурышева

Глава 4. Элементы квантовой физики

Радиоактивные превращения

3. Радиоактивное излучение не является процессом бесконечным. Число радиоактивных атомов со временем уменьшается, и, следовательно, уменьшается интенсивность процесса радиоактивного распада. Для каждого вещества активность этого процесса разная. Так, активность радона уменьшается в 2 раза через минуту, а для урана это время измеряется миллиардами лет. Характеристикой интенсивности радиоактивного распада принято считать период полураспада.

Периодом полураспада Т называют промежуток времени, в течение которого распадается половина первоначального числа атомов радиоактивного вещества.

Например, если в начальный момент времени вещество содержало 1000 радиоактивных атомов (рис. 138), то по истечении периода полураспада их должно остаться вдвое меньше — 500. В данном случае это время равно 5 мин. Через следующие 5 мин число нераспавшихся атомов станет ещё в 2 раза меньше — 250, и т. д.

    Рис. 138

Невозможно предсказать, когда произойдёт радиоактивное превращение каждого отдельного атома вещества. Оно может произойти в следующее мгновение, а может и через 10 мин, и через сутки, и через 1000 лет. Таким образом, поведение каждого отдельного атома совершенно случайно, оно носит, как говорят, вероятностный, статистический характер. Бессмысленно поэтому говорить о времени жизни одного какого-либо атома. Когда используется это понятие, то имеется в виду его значение, измеренное для очень большого числа атомов данного вещества.

4*. Радиоактивный распад — это пример процесса, который не может быть описан с помощью законов классической механики, он является статистическим законом. Закон радиоактивного распада характеризует не отдельные атомы, а всю совокупность атомов. Этот закон позволяет определить число нераспавшихся атомов в любой момент времени.

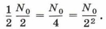
Пусть число радиоактивных атомов в начальный момент времени равно N0. Через промежуток времени, равный периоду полураспада, это число будет равно Ещё через такое же время число нераспавшихся атомов станет равным половине от оставшихся, т. е.

Через n периодов полураспада, т. е. по истечении времени t = nТ, радиоактивных атомов останется:

    закон радиоактивного распада

Полученное выражение и есть закон радиоактивного распада. Чем больше период полураспада Т, тем медленнее происходит распад, тем дольше «живёт» радиоактивное вещество.

<<< К началу      Окончание >>>

 

 

???????@Mail.ru